ORIGINAL RESEARCH ARTICLE

Intermediary Use in Sustainable Innovation Ecosystems: Comparing Patterns of Resource Access Among Sustainability And Technological Start-Ups

Frédéric Bally1,*, Thibault Daudigeos2 and Ludivine Calamel2

1Department of Strategy, Sustainability and Entrepreneurship, Kedge Business School; Marseille, France; 2Department People, Organizations and Society, Grenoble École de Management, Grenoble, France

 

Citation: M@n@gement 2025: 28(5): 111–131 - http://dx.doi.org/10.37725/mgmt.2025.11463

Handling editor: Emmanuel Josserand

Copyright: © 2025 The Author(s). Published by AIMS, with the support of the Institute for Humanities and Social Sciences (INSHS).
This is an Open Access article distributed under the terms of the Creative Commons Attribution-NonCommercial 4.0 International License (http://creativecommons.org/licenses/by-nc/4.0/), permitting all non-commercial use, distribution, and reproduction in any medium, provided the original work is properly cited.

Received: 31 October 2024; Revised: 26 September 2025; Accepted: 2 October 2025; Published: 19 December 2025

*Corresponding author: Frédéric Bally, Email: frederic.bally@kedgebs.com

 

Abstract

This paper examines how start-ups mobilise intermediaries to access resources within sustainable and technological innovation ecosystems (SIEs and TIEs). Drawing on a relational chain approach and quantified narrations of 90 sustainability and technological start-ups located in the same geographical area, we identify seven distinct patterns of intermediary use and compare them across the two ecosystem types. We contribute to the innovation ecosystem literature by showing that intermediary engagement follows plural trajectories, departing from the linear pipeline often assumed in ecosystem research. We further identify two contrasting logics of intermediation: emancipation, where ventures rely intensively on intermediaries at early stages and later reduce their dependence, and accumulation, where ventures progressively layer multiple intermediaries over time. Comparing SIEs and TIEs, we uncover the hidden but crucial role of interpersonal intermediaries in IEs, providing a different set of resources to sustainability start-ups, while technological ventures rely more on universities and companies. These results enrich intermediary typologies by adding interpersonal actors and reveal that the same intermediary types enable different bundles of resources depending on the ecosystem context.

Keywords: Start-up; Intermediary; Resources; Sustainable innovation ecosystem

Innovation ecosystems (IEs) have been explored in the literature over several decades (Moore, 1993). However, new types of ecosystems dedicated to sustainable innovation have recently emerged in response to today’s grand challenges, addressing environmental and social issues. These sustainable innovation ecosystems are defined as localised environments that support entrepreneurial activity addressing the above-mentioned societal challenges (Bozhikin, 2023; Sultana & Turkina, 2023). They differ from traditional IEs not only in the type of innovation they support but also in the nature of the actors involved (Roy & Hazenberg, 2019). Studying them – an area of research still in its infancy – is crucial for improving understanding and, ultimately, for improving how they function (Attarpour et al., 2024; Klimas & Czakon, 2022; Sultana & Turkina, 2023). This study focuses on sustainable innovation ecosystems that support the development of social innovation through start-ups. Sustainability start-ups are defined as firms aimed at creating societal impact via the market and innovation (e.g., Mair & Martí, 2006) and are seen as an alternative to both pure for-profit ventures and public sector action (Dacin et al., 2011).

The IE literature has shown that the innovation capabilities of start-ups are strongly shaped by their development within supportive contexts, which are often the result of collective, historical efforts (Theodoraki, 2020). Start-ups do not operate in isolation; instead, they emerge, grow, and evolve in collaboration with diverse actors (Bally et al., 2025b; Calcagnini et al., 2016; Josserand et al., 2004). These actors form a contextual network and create environments that either foster or hinder start-up growth (e.g., Bally et al., 2025a; Colovic, 2019; Du, 2021). Start-ups primarily focus on survival, growth, and establishing innovations through effective business models (Clarysse & Bruneel, 2007).

Research indicates that sustainability start-ups face additional challenges to survival because of scarce (internal) resources and the fact that they aim to create social value (Desa & Basu, 2013). Consequently, their reliance on their ecosystems, and on collaborations, to access resources is even greater (Bally et al., 2025b; Sultana & Turkina, 2023).

The IE literature has shown that some types of stakeholders called ‘intermediaries’ play a critical role in providing start-ups with the necessary resources for creation and growth (Costa & Matias, 2020; Koenig, 2012; Ruiz & Gandia, 2023). Such intermediaries include a diverse set of actors such as institutions, companies, incubators, accelerators, banks, universities, and research centres (Haines, 2016; Li-Yin et al., 2022). While many aspects of the role of intermediaries remain underexplored (Gu et al., 2020), this is especially pronounced in the context of sustainable innovation ecosystems (Attarpour et al., 2024; Gliedt et al., 2018; Klimas & Czakon, 2022; Sultana & Turkina, 2023). In particular, we have limited knowledge about the specific composition of these ecosystems (Sultana & Turkina, 2023), the roles that intermediaries (and particularly interpersonal actors) play within them, and how these roles evolve over time (Attarpour et al., 2024; Kanda et al., 2019). To address these gaps in the literature, this article investigates the following question: do sustainability start-ups follow specific patterns of intermediary use to access resources in a sustainable innovation ecosystem?

To answer this question, this study focuses on two IEs within the Grenoble region in south-east France: a technology-driven innovation ecosystem focused on value creation through technological innovation (referred to here as a ‘TIE’) (Wareham et al., 2014); and a sustainable innovation ecosystem dedicated to social and environmental innovation aiming to answer societal issues (referred to here as an ‘SIE’) (Costa & Matias, 2020). Specifically, we explore how start-ups access resources and engage with intermediaries in the early stages of their development, before and after legal status registration (LSR). We carried out interviews with 90 start-ups – 51 technological (or tech) start-ups and 39 sustainability start-ups (with the latter including social and environmental entrepreneurs, as defined by Battilana, 2018) – and used Grossetti’s (2005) quantified narration methodology to compare and contrast resource acquisition pathways.

We carried out cluster analysis to identify patterns in the use of intermediaries to access resources in both ecosystems. The comparison between tech and sustainability start-ups provides a better understanding of the specificities of intermediaries in sustainable ecosystems.

Our findings highlight seven patterns of intermediary use in these two IEs. Unpacking those patterns, we make three contributions. First, we extend existing research by highlighting two commonalities across sustainable innovation ecosystems (SIEs) and technological innovation ecosystems (TIEs): the dynamic and pluralistic trajectories of intermediary use, and the distinct logics that characterise how different ventures engage with ecosystem actors over time. Second, we enrich intermediary studies by expanding existing typologies to include the role of interpersonal intermediaries. Third, to the literature on SIEs, we add a resource perspective, showing how sustainability and tech start-ups follow differentiated paths of resource access and intermediary use.

The remainder of this paper is organised into seven sections. The first section reviews the relevant literature on IEs, sustainable entrepreneurship, and the role of intermediaries. We then outline the methodological approach used in our study and describe our dataset. The findings section presents the seven patterns of intermediation identified in the empirical analysis. We then discuss the theoretical and managerial implications of our findings, particularly with regard to SIEs, and consider related managerial recommendations. Finally, we set out the limitations of our work and directions for future research, before presenting our conclusions.

Literature review

From ecosystems to innovation ecosystems: Understanding how start-ups access resources

The concept of an ‘ecosystem’ has gained traction in entrepreneurship research as a way to conceptualise the complex, dynamic environments in which start-ups operate and grow (Teece, 2007). However, it remains a fragmented and evolving construct, encompassing various types –business, innovation, entrepreneurial, digital, and service ecosystems – differentiated by actor interconnections, structure, purpose, and geographical scope (Aarikka-Stenroos & Ritala, 2017; Clarysse & Bruneel, 2007; Scaringella & Radziwon, 2018). Introduced by Moore (1993), the business ecosystem was described as a configuration emerging from the interplay of capital, talent, and customer interest around innovation. Iansiti and Levien (2004) built on this foundation and reframed ecosystem actors not merely as competitors, but also as potential collaborators, thereby redirecting scholarly attention towards what is now commonly termed the ‘innovation ecosystem’.

Granstrand and Holgersson (2020, p. 1) define IEs as ‘an evolving set of actors, activities, and artefacts, and the institutions and relations, including complementary and substitute relations, that are important for the innovative performance of an actor or a population of actors’. The dynamic interactions between firms, public actors, and support organisations are key aspects of such ecosystems. IEs are characterised by configurations of interdependent actors – such as new ventures, investors, government agencies, universities, and research institutions – as well as associated processes including firm creation, venture growth, and the cultivation of entrepreneurial mindsets. These ecosystems emerge and evolve through formal and informal interactions, often catalysed by public policy initiatives aimed at enhancing regional start-up performance (Guerrero et al., 2016; Hakala et al., 2020; Theodoraki, 2020). Here, we focus, in particular, on the role of IEs for start-ups.

Given their structuring influence on actor relationships, norms, and resources, IEs offer a particularly fruitful context for exploring the support mechanisms available to start-ups (Scaringella & Radiwon, 2018) and how these can help them access resources needed for their development. However, it is important to recognise that IEs are not monolithic constructs. As Klimas and Czakon (2022) note in their systematic review, multiple subtypes of IEs have been identified, including those oriented around disruptive technologies, sustainable innovation, and medium- and low-tech domains, or structured as mono-platform systems. This diversity invites closer attention to context-specific ecosystem dynamics.

The rise of sustainable innovation ecosystems

Building on the work done to understand IEs, SIEs have emerged as a framework for analysing start-ups engaged in solving societal (both social and environmental) problems (Costa & Matias, 2020; Fukuda & Watanabe, 2012). These ecosystems typically revolve around shared societal goals – such as the UN Sustainable Development Goals – and feature dense, localised networks of actors (Nylund et al., 2021; Roy & Hazenberg, 2019; Sultana & Turkina, 2023). While research in this area is growing, SIEs remain underexplored compared with traditional IEs (Bozhikin, 2023), particularly regarding how they provide a compelling context for sustainability start-ups.

Bozhikin’s (2023) systematic literature review identifies three SIE types: those oriented towards specific sectors and societal problems, those in the tech and innovation field, and those centred on public or educational institutions. Key success factors include access to funding (public and commercial), capacity building, and the presence of dealmakers. Scholars have called for deeper analysis of how public actors support these ecosystems and how SIEs differ in their actor configurations and governance models from other types of IE (Attarpour et al., 2024; Gliedt et al., 2018; Sultana & Turkina, 2023).

Moreover, existing research has tended to privilege the structural components of ecosystems while under-theorising the relational dynamics and evolving linkages between ecosystem elements (Acs et al., 2016; Marcon & Duarte, 2021). To address this gap, the present study examines how intermediaries facilitate start-ups’ access to critical resources at different stages of their development in an SIE.

The concept of intermediaries in understanding how start-ups access resources

Start-ups – especially early-stage ones – often face a ‘liability of newness’ and depend on intermediaries to access vital resources (Marcon & Duarte, 2021). The concept of ‘intermediary’ refers to actors who facilitate knowledge flows, build networks, and mediate between diverse ecosystem components in an innovation process (Howells, 2006; Li-Ying, 2022; Reischauer et al., 2021; Sultana & Turkina, 2023). These so-called middle actors (Parag & Janda, 2014) play a crucial role in enabling start-ups to access critical resources by acting as resource orchestrators and collaboration facilitators (Howells, 2006) and include public agencies, universities, incubators, accelerators, entrepreneurs, individuals, and large firms (Attarpour et al., 2024; Caloffi et al., 2023; Hausberg & Korreck, 2020; Li-Ying et al., 2022).

The roles of these intermediaries are diverse: incubators support start-up survival; universities provide training and legitimacy; firms offer industry access; accelerators and financial actors drive innovation (Kanda et al., 2019; Reischauer et al., 2021). Across these types, however, four core functions emerge:

  1. knowledge transfer: facilitating access to information and promoting the circulation, translation, and application of knowledge (Howells, 2006; Noviaristanti et al., 2024);
  2. network orchestration: enabling interactions among ecosystem participants by building networks and enabling collaborations (Kivimaa, 2014; Noviaristanti et al., 2024);
  3. resource mobilisation: assisting start-ups and firms in accessing resources –financial, human, and infrastructural (Kanda et al., 2019; Polzin et al., 2016);
  4. legitimacy building: shaping perceptions and influencing institutional arrangements, for instance by aggregating stakeholder voices, organising events, and legitimising emerging ventures (Kivimaa, 2014).

Understanding the role of sustainable innovation ecosystem intermediaries

While the functions of intermediaries are well theorised, empirical research on how they operate in specific contexts – especially within SIEs – remains limited (Sultana & Turkina, 2023). The literature increasingly points to the distinctive characteristics of intermediaries in the context of sustainability transition (Kivimaa et al., 2019; Sultana & Turkina, 2023; Talmar et al., 2022). These ‘sustainability intermediaries’ are often tasked with bridging visions, creating cross-sector collaborations, and disrupting dominant socio-technical regimes (Caloffi et al., 2023; Kivimaa et al., 2019; Wolf et al., 2021). Gliedt et al. (2018), in their review of sustainability-oriented innovation intermediaries, highlight their potential to influence green economic development and call for further investigation into their interactions with local firms and entrepreneurs (p. 1258). In their case study research in the plastics revaluation field, Wolf et al. (2021) identify universities and NGOs as the main transition intermediaries helping start-ups to develop over time and call for more research to confirm this observed pattern.

However, this line of research is still developing. Questions persist regarding the contributions of public sector intermediaries to the governance and structuring of IEs (Attarpour et al., 2024; Kivimaa et al., 2019), and their role in facilitating collaboration across heterogeneous ecosystem actors (Sultana & Turkina, 2023). As Caloffi et al. (2023) note, there is growing momentum towards unpacking how established intermediary forms evolve in the context of sustainability transitions and how they differ from traditional intermediaries (Kivimaa et al., 2020). Ho and Yoon (2022) advocate for in-depth, longitudinal analysis of the evolving roles of intermediary organisations over the lifecycle of sustainability start-ups, with specific attention paid to how these roles are distributed and enacted (Ho & Yoon, 2022).

In response, the present study draws on interviews with start-ups in two IEs, an SIE and a TIE. It seeks to identify patterns of intermediation within the SIE, with the aim of elucidating the distinct roles intermediaries perform compared with intermediaries in TIEs. Thus, we address the following question: do sustainability start-ups follow specific patterns of intermediary use to access resources in a sustainable innovation ecosystem?

Methodology

Research design: Using relation chains and quantified narration to identify patterns of intermediary use to access resources in a sustainable innovation ecosystem

To better understand the role of intermediaries within IEs for both sustainability and tech start-ups, we used the quantified narration method (Grossetti, 2005; Grossetti et al., 2011). This approach builds on economic sociology research on relational chains (Fischer, 1982; Granovetter, 1973), blending qualitative and quantitative dimensions in data collection and analysis. It enabled us to trace sequences of resource access in start-up creation stories and convert these into numerical data. The quantified narration approach combines open-ended and structured questions, and allows us to map out the resources entrepreneurs access through their networks (Chapus & Nordman, 2021) and to understand each step in the process of obtaining those resources (Bally et al., 2025b). Using the relational chain approach, we suggest that the activities of start-ups are deeply embedded in a network of local relationships with intermediaries, which provides access to markets, raw materials, ideas, and more (Fischer, 1982; Granovetter, 1973).

By applying the quantified narration method across different contexts, researchers can highlight the crucial role of specific relationships for entrepreneurs and provide insights into the importance of intermediaries (Berrou & Gondard-Delcroix, 2018; Bally et al., 2025a; Chapus & Nordman, 2021; Polge & Pages, 2022).

Identifying intermediary types

Building on the literature on intermediaries and IE (Attarpour et al., 2024; Haines, 2016; Li-Ying et al., 2022; Ojaghi et al., 2019; Spender et al., 2017), we have identified five key actors within IEs that facilitate access to resources: companies, local and regional institutions, incubators (including accelerators), universities, and individuals within interpersonal networks. Companies encompass not only start-ups themselves but also entities such as larger established firms, legal firms, market research firms, recruitment agencies, and suppliers. Institutions, ranging from regional and municipal entities to public funding agencies, are core components of any IE (Attarpour et al., 2024; Talmar et al., 2022). Incubators play an essential role in start-up development within IEs by providing a set of support services, including networking, business consulting, commercial guidance, financial packages, and facilitating access to public funding (Ojaghi et al., 2019). Universities and research centres are also critical in fostering start-up creation and innovation (Calcagnini et al., 2016; Gu et al., 2020). Certain universities and research centres have established in-house incubators or valorisation teams specifically to support start-ups originating from academic research. Lastly, individuals – such as friends, former colleagues, family members, and acquaintances – can provide access to resources (Bally et al., 2025a), and can be linked to entrepreneurs by either weak or strong ties (Granovetter, 1973). For instance, an acquaintance might advise an entrepreneur to approach a particular incubator, or connect them with its director, thereby enabling access to other valuable resources. We distinguish these interpersonal connections from formal contractual relationships (see Chen et al., 2024).

Identifying resources used by entrepreneurs to develop their start-ups

Our approach examines the resources that start-ups access, the intermediaries who facilitate this access, and the geographical locations of these resources, all contextualised within the lifecycle of the start-up. We analyse these elements through reconstructed ‘relational chains’, following the methodologies and broad resource definitions suggested by Franco and Haase (2013), Newbert et al. (2008), and Grossetti (2005). This comprehensive view of resources includes advice (legal, commercial, technological, etc.), credibility (such as awards, media coverage, etc.), customers, funding, human resources, information and ideas, partnerships, suppliers, and technology.

Research setting and sample

Grenoble’s reputation for environmental, social activism (Bernady de Sigoyer & Boisgontier, 1996) and technological innovation (Bally et al., 2025a) makes this geographical setting an ideal place to explore the specificities of SIEs compared with more traditional TIEs.

To build our sample, we began by identifying sustainability start-ups based on self-identification as a sustainability start-up, recognition in the media, or participation in sustainable entrepreneurship programmes (e.g., incubators, competitions, or grants). Additionally, we applied two further criteria: each start-up had to be less than 5 years old to allow us to focus on early-stage companies and minimise memory bias in interviews, and each had to have an established legal status to exclude unformalised projects. This identification process yielded a final sample of more than 130 sustainability start-ups, out of which 39 entrepreneurs responded positively to a request for an interview. We used a similar approach to identify tech start-ups. This led to the identification of 250 start-ups, out of which 51 agreed to be interviewed. See Appendix 1 for more information on our sample.

Our sample spans various sectors. Sustainability start-ups are active in industries such as waste and recycling, food, energy, transport, and care. For example, one start-up (SUST18), founded by former employees of an outdoor activity equipment brand, saw potential in repurposing discarded snowboard prototypes into skateboards. Tech start-ups in our sample operate in fields such as software development, connected devices, digital applications, and health products. For instance, TECH33 develops biosensors, signal processing, and databases for both professional and consumer applications.

Data collection

Using the ‘quantified narration’ method (Grossetti, 2018), the first two authors conducted semi-structured interviews with the founders of each start-up to reconstruct their enterprise development processes from idea formulation to first market access to their current stage. We interviewed the main founders of 90 start-ups, with the relevant individuals identified by consulting LinkedIn profiles and local press. In cases of multiple initial founders, we checked by email who would be the best person to interview based on our explicit objective to track the resource acquisition of the start-up from the very first idea to the present time.

Interviews, conducted between June 2019 and January 2021, explored three topics: the founder’s background (personal and professional), the start-up’s origins, and its subsequent development and growth. Each interview lasted an average of 90 min and was recorded and transcribed.

In order to establish the role of intermediaries, we aimed to situate each access of a resource in the period before or after LSR.

Each interview started with a simple request to tell the story of the start-up, from the initial idea to the present day. The interviewer then reacted and asked for more detail when founders talked about the use of resources and the ecosystem. We kept the different types of resources identified in the literature in mind as we conducted the interviews, which helped us to frame follow-up questions.

We prepared for the interviews by gathering primary and secondary data on each start-up from a range of sources such as internal documents, newsletters, social media content, reports, and local press articles. LinkedIn profiles, for instance, provided valuable insights into resource milestones such as securing funding, hiring personnel, and participating in exhibitions. This preparation enabled us to talk about certain events and help entrepreneurs recall each resource used and each step in their ventures’ creation and their professional careers, thereby mitigating against memory bias (Neusar, 2014).

Data analysis

To track all resources accessed by the start-ups, and the role of intermediaries in this access, we systematically coded each interview transcript using Atlas.ti in relation to four themes: nature of the resource, nature of those giving access to the resource (intermediaries), location of resource, and timing of accessing the resource – that is, before or after LSR. This last feature (i.e., timing) gave us information to construct a dynamic pattern of resource acquisition based on a clear and objective temporal milestone. We applied a double-coding process to enhance internal validity and refined our coding scheme through regular team meetings and repeated cross-checking of complex code sequences. By applying the quantified narration method, we treated all relationships with equal importance, enabling an unbiased examination of the relational chains formed by entrepreneurs.

We used Atlas.ti’s co-occurrence functionality to systematically track the location of access using analyses such as ‘nature of resource’ × ‘localisation’ and ‘type of tie’ × ‘localisation’. In analysing the development and relational dynamics within Grenoble’s IE, we focused exclusively on resources sourced locally. For sustainability start-ups, out of a total of 981 resources mobilised, 61.5% were from the local ecosystem. For tech start-ups, 56% of a total of 1,431 resources mobilised were from the local ecosystem.

We then used cluster analysis to identify distinct patterns of intermediary use and systematically compare and contrast sustainability and tech start-ups. We built a table that listed, for each start-up, the number of resources accessed via five types of intermediaries before and after LSR. This provided a database of 90 data points with 10 numerical features for each (incubators before, incubators after; universities before, universities after, etc.). We then performed a first clustering by hand, considering each feature in turn and looking at cases with similar extreme values on this feature – for instance, gathering together all start-ups with a high percentage of resources accessed via universities before LSR. Looking at extreme values on each of the 10 features, we were able to identify a set of five meaningful clusters. And, for each of these clusters, we could then reflect on the nature of the related start-ups: mainly sustainable, mainly technological, or both. However, while this was an interesting first step in identifying and interpreting patterns, it suffered from a lack of scientific robustness and a difficulty in identifying clear boundaries for each cluster. We thus decided to perform a cluster analysis, following Kaufman and Rousseeuw’s (2009) recommendations for clustering, running the K-means algorithm using open-access statistical software called Orange. K-means is well suited to the structure of our dataset (90 data points with 10 features each). Using Orange, we were able to standardise our 10 numerical features and reduce the dimensionality of our data.

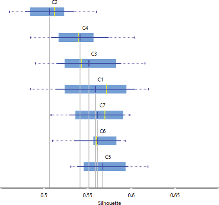
This analysis provided silhouette scores for each cluster. This score measures how similar an object is to its own cluster compared with other clusters, and provides an interpretable metric for assessing cohesion and separation. We identified seven clusters, each with a silhouette score of more than 0.5, which indicates a fairly good clustering performance (Kaufman & Rousseeuw, 2009). A score of 0.5 means that the seven identified clusters are stable and well separated from each other (see Figure 1). In other words, the probability that a start-up is associated with the wrong cluster is low. Interestingly, the seven identified clusters (see Appendix 2) include the five clusters that we had previously identified by hand, albeit with clearer delineated borders. Finally, to get a better understanding of each of these clusters, we looked at the type of resources that the related start-ups accessed through each intermediary before and after LSR. This allowed us to identify seven distinct patterns of intermediary use in the IEs, which we describe in the following findings section.

MGMT-28-11463-F1.jpg

Figure 1. Silhouette scores of the seven identified clusters.
Source: own elaboration.

Findings

Our empirical analysis, based on a dataset of 90 start-ups operating within two IEs located in the same area, reveals distinct patterns in the use of intermediaries (see Appendix 2). Specifically, we identified seven patterns of use of intermediaries by start-ups based on how they engage with intermediaries, both before and after LSR. Some patterns are ‘hybrid’ and are associated with both sustainability and tech start-ups, while others are almost exclusive to one type of start-up. This section further unpacks these seven patterns by detailing the types of intermediaries involved and the timing of their involvement (see Table 1), as well as the specific resources accessed (see Table 2).

Table 1. Proportion of resources accessed through each type of intermediary before and after legal status registration for each identified pattern
Pattern P1 P2 P3 P4 P5 P6 P7
Companies before LSR X XX 0 0
Companies after LSR X XX X X X
Incubators before LSR XX XX 0 0 0 0
Incubators after LSR X X X 0 X XX
Institutions before LSR XX X 0 X 0 0 0
Institutions after LSR X X XX X X
Interpersonal before LSR XX X X X X
Interpersonal after LSR X XX XX X X X
Universities before LSR 0 XX 0 0 0 X 0
Universities after LSR 0 X 0 XX
Types of start-ups 8 SUST

4 TECH
2 SUST

9 TECH
9 SUST

9 TECH
11 SUST

7 TECH
1 SUST

6 TECH
3 SUST

13 TECH
5 SUST

3 TECH
Source: own elaboration.
LSR, legal status registration.
Notes: empty = uneven and low access to resources through this intermediary; 0 = no resources accessed through this intermediary; X = moderate proportion of resources accessed through this intermediary; XX = high proportion of resources accessed through this intermediary.

 

Table 2. Nature of resources mobilised through intermediaries for each pattern, before and after legal status registration for each identified pattern
Pattern P1 P2 P3 P4 P5 P6 P7
Companies before LSR CA CA, FUN, TECH, INFO 0 0
Companies after LSR FUN, CA, HR HR, CA, FUN, SUPP FUN CA, SUPP, CRE HR, CA
Incubators before LSR CA, INFO, TA INFO, CA, FUN, HR, NET 0 0 0 0
Incubators after LSR INFO INFO PREM, CA 0 CA, NET, INFO CA, PREM, INFO, PREM, FUN
Institutions before LSR INFO, CA, NET, FUN INFO 0 INFO 0 0 0
Institutions after LSR CRE, FUN FUN, INFO, HR, CUST FUN, INFO, CUST, HR, NET, CRE FUN, INFO INFO, FUN
Interpersonal before LSR INFO, CA INFO, CA, HR INFO INFO, CA INFO, HR
Interpersonal after LSR INFO, TECH INFO, CA, PREM, HR, CUST, FUN INFO, PREM, FUN, CUST, CA HR, CA HR, TECH INFO, CA, NET INFO, CUST
Universities before LSR 0 INFO, TECH, HR, TA, FUN 0 0 0 HR, INFO, NET, PREM 0
Universities after LSR 0 HR, FUN 0 INFO, NET, PREM, HR, FUN, TECH
Source: own elaboration.
LSR, legal status registration; CA, commercial advice; TA, technical advice; CRE, credibility; FUN, funds; SUPP, suppliers; INFO, information and ideas; PREM, premises; CUST, customers; NET, network and partnership; HR, human resources; TECH, technology; italics, strong reliance on the intermediary to access resources (represented by XX in Table 1).

Pattern 1. Early strong incubator, institution and interpersonal supports followed by a gradual disintermediation: ‘Early strong support and disintermediation’

Pattern 1 mainly comprises sustainability start-ups (8 SUST/4 TECH). It is characterised by intensive engagement with intermediaries before LSR, followed by a gradual disengagement after LSR. Before LSR, start-ups in this cluster mobilise three main categories of intermediaries – incubators, public institutions, and interpersonal intermediaries – while notably abstaining from engaging with universities.

Each intermediary category serves distinct resource access functions. Incubators emerge as central during the early phase, offering a mix of commercial and technical advice and information. The use of incubators is perceived as crucial for training and learning, and for connecting with potential investors:

The incubator experience spans 9 months and combines coursework, training sessions with external experts, project presentations, and meetings with companies that support young entrepreneurs. A speed-dating event was even organised in the region with investment banks, where candidates pitched their projects while banks outlined their investment interests. This experience proved to be very enriching, as it allowed me to establish connections with potential investors. (SUST3)

Public institutions also play a key intermediary role before LSR, providing commercial advice, access to networks, funding opportunities, and information. In parallel, interpersonal intermediaries – friends, informal mentors, and personal contacts – mainly offer information, along with some limited commercial advice.

After LSR, however, start-ups markedly reduce their reliance on intermediaries. The use of incubators becomes limited and tends to be restricted to informational purposes, while institutions are engaged selectively – primarily for credibility building and accessing financial resources, as described by one interviewee (SUST14): ‘Thanks to contacts made at the incubator, I obtained funding from a local public organisation. It greatly helped us as we needed it to be more credible and to continue our development’.

The role of interpersonal intermediaries decreases in the second phase as well, and their role shifts towards mostly offering technical advice. This progressive move away from intermediary reliance appears to reflect a transition towards autonomy, enabled by early-stage resource accumulation and network development.

An illustrative case is that of SUST32, a local cannery that processes and preserves fresh, locally sourced food – particularly fruits and vegetables – for distribution to organic markets and supermarkets in the region. Prior to officially registering her business, the entrepreneur – who has a background in health research – embarked on a career transition motivated by a search for meaning and a desire for local engagement. She initially drew on personal and informal resources, including reading materials (such as Village magazine), support from friends, immersion experiences in various firms facilitated by a public employment agency, self-training via online resources, and field-based research (e.g., visiting shops and identifying existing canneries). This exploratory phase was further reinforced by undertaking technical training at an agricultural training centre and by meeting with local stakeholders – including vegetable growers, local chambers of commerce, and a local farmers’ association – thus enhancing both her skill set and the overall feasibility of the project. She subsequently joined a local incubator dedicated to sustainable start-ups, where she gained access to structured support resources such as coaching, entrepreneurial training, co-working space, and networking opportunities.

After registering her business, the incubator facilitated a connection with an established cannery, from which she received guidance on how to structure her operations and identify potential clients. Additionally, a feature article in the local press – enabled through contacts within the metropolitan network – further enhanced her credibility. Overall, though, she needed much less support in this post-LSR phase to access resources.

Pattern 2. Early universities and incubators support and relative disintermediation: ‘Academic incubation pathway’

Pattern 2 is predominantly composed of technology-oriented start-ups (9 TECH/2 SUST) and is characterised by intensive resource mobilisation prior to LSR. Start-ups in this cluster rely primarily on universities and incubators, with more limited engagement with interpersonal connections. Some additional resources are accessed through institutional and business intermediaries, though to a much lesser extent.

Incubators serve as key facilitators, providing access to information, commercial advice, funding, human resources, and professional networks. Alongside this, universities function as crucial intermediaries for acquiring knowledge, technologies, talent, technical guidance, and financial support:

My co-founder was a PhD [student] working on a new technology. We developed it further with a postdoc and eventually created a start-up based on it, thanks to support from the research centre. They have a dedicated team focused on technology transfer, and they brought us into their incubator. That gave us access to a wide range of resources to get started. (TECH47)

After LSR, these start-ups progressively reduced their dependence on intermediaries, though many maintained ongoing relationships with incubators – mainly for access to information – and with universities, particularly for talent recruitment and continued funding.

These start-ups thus remain embedded in the research and innovation ecosystem during their early stages, while gradually gaining independence. This pattern reflects a common development pathway for tech start-ups originating in research centres. Interestingly, though, two sustainability start-ups are included. These start-ups followed a similar trajectory, benefiting from incubators and university-based resources that support student-led entrepreneurial initiatives.

A representative case of Pattern 2 is SUST29, a start-up developing unpackaged endurance snack for trail runners and athletes in the form of an edible, wrapper-free energy gel that offers enhanced nutritional value compared with conventional energy bars. Before LSR, the project emerged from a blend of personal experience (travel and trail running) and academic involvement (university coursework and competitions). The entrepreneur drew upon personal resources – time, marketing skills, and athletic expertise – as well as interpersonal intermediaries such as friends and former professors. Joining the university incubator gave the entrepreneur access to a suite of academic resources, including special student-entrepreneur status, faculty mentorship, access to co-working space, and financial support through prizes and grants obtained via regional and national competitions.

After LSR, SUST29 became increasingly structured, mobilising human resources – including freelancers, interns, and scientific collaborators – via the university and local businesses. The start-up also succeeded in attracting private investment from venture capital firms, business angels, and industry partners to support its continued growth.

Pattern 3. Early minor interpersonal support and gradual increased use of companies, incubators, institutions, and interpersonal reliance: ‘Informal start, supported growth’

Pattern 3 consists of a balanced mix of tech and sustainability start-ups (9 TECH/9 SUST). These start-ups launch rapidly, leveraging personal networks for early-stage support, and subsequently begin embedding themselves more deeply within the local ecosystem by engaging with institutional intermediaries and companies.

Pattern 3 start-ups engage with only minimal resources before LSR, relying almost exclusively on interpersonal intermediaries to access basic information and expedite the registration process. This is the only type of intermediary mobilised by this group during the initial pre-LSR phase. Typical cases include entrepreneurs who exploit personal networks to identify legal advisors for company registration or to gather knowledge on how to navigate the early stages of entrepreneurship. One interviewee (SUST34) noted: ‘My uncle is an entrepreneur, and he gave me advice and contacts to get started. That was huge for us at that time, as we didn’t know anything about entrepreneurship before, despite our education’.

After LSR, these start-ups continue to rely heavily on interpersonal intermediaries, who facilitate access to a wide range of resources, including commercial advice, premises, human resources, funding, and information. For instance, SUST12 secured its first office space in a strategic city-centre location through a family contact: ‘We found a premises through a friend of the family, a real estate agent, and he found us a very well-located space. A perfect space to start’.

Pattern 3 start-ups also occasionally engage with incubators to access office space and commercial advice, while institutional and business intermediaries are mobilised selectively for funding and commercial support, including access to private capital.

An example of a Pattern 3 start-up is SUST38, which produces beeswax and organic cotton wraps for food. The founder initially developed the product in his grandmother’s garage, producing several iterations based on feedback from friends. After initial sales via his personal network and website, he formalised the start-up’s legal status with the support of a local accounting firm, which later helped revise the legal structure as the business evolved. After LSR, to scale up production, the founder commissioned a custom-made machine designed by his great uncle – an experienced industrial designer – and manufactured by two local firms with which the uncle had long-standing ties. A friend assisted in securing affordable production space, while a contact from a beekeeping initiative introduced the founder to a supplier of organic French wax and helped establish a relationship with a textile company for sourcing fabric.

Pattern 4. Early interpersonal support followed by strong reliance on companies, institutions, and interpersonal contacts: ‘Post-launch anchoring’

Pattern 4 exhibits partially similar dynamics to Pattern 3, but is distinguished by the involvement of additional intermediary types not previously observed. This pattern includes a mix of sustainability and tech start-ups (11 SUST/7 TECH). These start-ups launch rapidly and exhibit minimal reliance on intermediaries during the first pre-LSR phase. Instead, they draw on interpersonal intermediaries to obtain commercial advice and informational support, and have limited engagement with institutional intermediaries for information gathering. These early interactions with intermediaries enable them to formalise their registration and move forward with their development. For instance, SUST7 mobilised a close acquaintance – a professor in a local business school – to lead an initial market study, thereby collecting critical information prior to launching the start-up.

After LSR, however, start-ups in this cluster intensify their engagement with intermediaries, particularly institutional actors, to access funding, information, clients, and human resources, and to enhance their credibility:

We are part of the URSCOP (regional association that supports the development of sustainable enterprises) – a highly valuable network. We received legal support, assistance with obtaining our first accreditation, funding, and we participate in meetings with other SCOPs. We have a dedicated advisor who supports us in organising general meetings. (SUST5)

In parallel, interpersonal intermediaries continue to serve as sources of access to information, premises, funding, and commercial advice. Moreover, company intermediaries contribute by facilitating access to human resources, supplemental funding, and supplier networks:

We aim to offer the most sustainable T-shirt possible, but local manufacturing is financially unfeasible. As a result, we source our T-shirts from the brand Stan & Stella, which produces them in Bangladesh under strict sustainability standards. The T-shirts are made from organic cotton and carry multiple eco-responsible certifications, including vegan labels. I discovered the brand during an internship in Paris. (SUST35)

Notably, this cluster of start-ups does not rely on incubators or universities. This suggests that these start-ups reinforce their integration into the ecosystem at a later phase of their development.

One Pattern 4 organisation is SUST35 (quoted above), a start-up that designs and prints organic T-shirts promoting local identity. Before LSR, the entrepreneur relied on interpersonal intermediaries to access initial training in graphic design and complete an internship in textile printing in Paris, and drew inspiration from an existing business model.

After LSR, she obtained financial support from a public organisation and was connected with a business creation advisor who assisted in structuring the project and developing a business plan. She benefited from capital contributions from her family and received legal and strategic guidance from an associate. Further support was provided by GAIA, a local public organisation for sustainability start-ups, which helped her secure multiple forms of financing, including a bank loan and two zero-interest loans, while also acting as guarantor. She established a commercial space in her neighbourhood and sourced equipment through contacts made at a regional trade fair. Over time, she built a team (comprising her partner, interns, employees, and a freelancer), developed a locally rooted brand (La Noix), and expanded her customer base through word-of-mouth and local institutional partners (e.g., local public transport, the local tourist office, and a local business). Social media was also used as a channel for visibility and recruitment. The business has continued to grow locally through artistic collaborations, a physical retail presence, and diversification into business-to-business and online sales.

Pattern 5. Early strong company support and gradual disintermediation: ‘Private-sector embeddedness’

Pattern 5 is largely made up of tech start-ups (6 TECH/1 SUST). These start-ups begin with a heavy reliance on company intermediaries that help launch the venture. Over time, their use of intermediaries evolves to include a blend of institutions and companies mobilised for accessing funding, while they also maintain a relatively narrow set of engagements with interpersonal intermediaries.

Before LSR, these start-ups primarily mobilise company intermediaries to access commercial advice, funding, technological resources, and information. This support takes the form of market studies, integration into local business networks, and private capital investments:

I met Nicolas at a local conference in June; he is the head of the Toulouse branch of a big company. Then, at the October conference, we pitched the project in front of the board and network members, thanks to him, and the response was immediately positive. He then helped us to negotiate the capital structure. (TECH29)

To a lesser extent, before LSR, these start-ups also draw upon interpersonal intermediaries to access information and human resources. After LSR, they continue to engage company intermediaries selectively – primarily for funding – while also activating local institutional intermediaries for funding and information. Interpersonal intermediaries remain important, especially for commercial advice. For example, TECH25 secured its initial bank loan through support from a local branch of the French national investment bank, which enabled continued development and access to early customers.

TECH29 (quoted above) is one example of a Pattern 5 start-up. It is a digital platform co-developed by a group of doctors to safeguard medical ethics in emerging digital environments, while still capitalising on technological innovations to improve medical practice. The founder – a radiologist and head of a hospital department – transitioned into entrepreneurship through a hospital–university ideation initiative aimed at improving the distribution of medical expertise. A prototype developed during the Hacking Health Camp in Strasbourg won an award. This catalysed the formation of a start-up with his engineer brother and collaborators from his medical and research network, including a developer, a researcher, and a medical illustrator.

The team secured early support and established strategic partnerships through their extended professional networks, including collaboration with Teleconsult, a local company, and EDF, France’s largest electricity company, despite the product still being under development. After legal incorporation, they raised €367,000 from 50 doctors and health professionals as a result of an internal fundraising campaign, anchored by a charter of values emphasising non-profit orientation and collective benefit. The founder continues to leverage his interpersonal network, particularly for recruitment purposes.

Pattern 6. University early support and growing connections with all intermediaries: ‘academic deep embedding’

Pattern 6 is composed predominantly of technology-oriented start-ups (13 TECH/3 SUST) and demonstrates a distinctive development trajectory embedded in local academic intermediaries.

In the pre-LSR phase, these start-ups primarily mobilise universities to access critical resources such as human capital, information, networks, and premises. This pattern reflects their shared origin: all start-ups in this cluster emerged from research activities or employment within universities or research centres. A typical case is TECH14, which evolved from a collaborative research project:

The idea originated from a European project. A PhD candidate played a central role in developing the initial concept. Our team subsequently developed software solutions derived from the project and sought to commercialise them. We made extensive use of a dedicated unit within the laboratory focused on the commercialisation of projects, which provided us with valuable network connections and a physical workspace where we could develop the project in a stable and supportive environment.

Deeply embedded within the academic ecosystem from the outset, these start-ups further reinforce their ties to university intermediaries after LSR, making greater use of informational, technological, and financial resources, as well as physical infrastructure and human capital. Many of them join incubators or accelerators affiliated with their home institutions as part of the transition to commercialisation.

Simultaneously, they begin engaging with company intermediaries to access commercial advice, supplier, and build credibility. For example, TECH15 reported how they ‘have been working with an innovation consulting firm since 2017, particularly for matters related to the research tax credit’.

These start-ups also mobilise incubator intermediaries to access networks, information, and commercial advice, and institutional intermediaries to secure complementary public funding – often supplementing private capital raised through banks. In parallel, interpersonal intermediaries are used to access knowledge, human resources, and professional networks. For instance, start-ups frequently hire former research centre colleagues who possess deep technical expertise and familiarity with the venture’s core technology.

TECH18, for example, is a start-up specialising in the production of semiconductor diamonds for power electronics. The project stems from a long-term research effort at CEA and CNRS, two prominent French research institutions. The founder, a former PhD student, launched the company with three research peers and a technical associate from another research institute. Early support was provided by SATT Linksium, a regional technology transfer and incubation agency, which provided initial funding of €120,000, as well as subsequent business support services such as market studies, training, coaching, and facilitated networking.

The start-up was officially founded in March 2019 with the legal and financial support of a start-up-focused lawyer and accountant. Shortly thereafter, the team won an innovation competition and received a €320,000 grant, and secured mentorship through personal contacts at a large local company in the field. Additional public funding was acquired from sources such as Rotary, GE Hydro, ANR, and H2020, largely thanks to the start-up’s academic network (CEA, Institut Néel, Toulouse Lab) and the continued support of a local incubator. Access to specialised equipment was facilitated by the use of nearly rent-free space at CNRS (representing a form of indirect subsidy), while the sourcing of materials benefited from the expertise and infrastructure of partner laboratories. The founder’s academic and professional network, including former supervisors and PhD peers, also played a key role in TECH18 joining European research consortia and acquiring early industrial clients. The start-up continues to receive support from regional actors such as Grex (a public agency that facilitates access to foreign markets for local businesses), local authority, and the local branch of BPI France (which provides funding and other business development support to new businesses) and explicitly aims to remain embedded in the Grenoble ecosystem.

Pattern 7. Quick start and incubator reliance: ‘Lean launchers with incubator leverage’

Pattern 7 is associated with a mixed group of sustainability and tech start-ups (5 SUST/3 TECH). These start-ups are characterised by rapid LSR and immediate market entry, with virtually no intermediary engagement prior to LSR. After LSR, however, these start-ups typically join incubators to access a broad array of resources – including premises, funding, and commercial advice, as illustrated by SUST26:

Having premises at Ronalpia [an incubator dedicated to sustainable start-ups] allows me to get to know other sustainability entrepreneurs, to do a bit of networking. That’s where I met the manager of Cosse Nature, with whom we’re currently developing a partnership. That’s one example among others, such as the funding that we have obtained thanks to the connection made by the incubator.

In addition to incubators, these start-ups also make limited use of interpersonal intermediaries after LSR, particularly to access human resources and commercial advice. For instance, TECH26 leveraged personal contacts to enter a national competition, which provided both funding and enhanced credibility. Notably, start-ups in this cluster do not engage with universities and only marginally interact with public institutions as they develop.

A representative example of a Pattern 7 start-up is SUST26, which was originally conceived as a creative project centred on ethical and socially responsible design. Initial funding was raised through a crowdfunding campaign and personal contributions (€3,500 each). The company was formally registered in September 2017, with legal support from the founder’s brother. After LSR, additional financing was secured via a family-supported loan. The entrepreneur subsequently joined the Ronalpia incubator, which proved to be a critical platform for networking, skill development, and market access. Through this incubator, she engaged with a network of female entrepreneurs and connected with local businesses to gain commercial insights. Access to office space within the incubator significantly reduced start-up costs. Marketing and business development efforts were reinforced through local partnerships, including collaborations with distributors recommended via personal networks. Eventually, an e-commerce platform was launched to reach individual consumers. Based on expert advice encountered at an industry event, the company also expanded into B2B sales, targeting corporate clients and event organisers.

Discussion

To understand how start-ups rely on intermediaries to access resources in SIEs, we compared the interactions and relationships between start-ups and intermediaries in a TIE and an SIE located in the same geographical area. Using a relational chain approach and quantified narration (Grossetti, 2005), we identified seven distinct patterns of how start-ups mobilise intermediaries to access resources in their respective ecosystems (see Table 3).

Table 3. Main pathways of intermediary mobilisation across start-ups for each pattern
Pattern Composition (SUST/TECH) Key intermediaries Main resources accessed Pathways of intermediary mobilisation Description of pattern
P1 Mainly SUST (8/4) Incubators Institutions Interpersonal CA, INFO, TA, FUN Decreasing after LSR Early support → autonomy
P2 Mainly TECH (2/9) Incubators Universities INFO, TECH, HR, CA, FUN Decreasing after LSR Research-based start-ups → relative autonomy
P3 Balanced (9/9) Interpersonal before → then

Incubators, Companies
INFO, PREM, FUN, HR, CA Increasing after LSR Informal start → structured growth
P4 Mainly SUST (11/7) Interpersonal Institutions

Companies
INFO, FUN, CA, HR Increasing after LSR Rapid start → ecosystem anchoring
P5 Mainly TECH (1/6) Companies CA, FUN, TECH Stable or slightly decreasing Company-driven launch → relative autonomy
P6 Mainly TECH (3/13) Universities before → then

Incubators Companies
HR, INFO, NET, PREM, TECH Deepening engagement Academic-based start-ups → growing connections with all intermediaries
P7 Mainly SUST (5/3) Incubators (primarily) Interpersonal CA, FUN, PREM, INFO Late engagement Fast launch → structured support
Source: own elaboration.
CA, commercial advice; TA, technical advice; CRE, credibility; FUN, funds; SUPP, suppliers; INFO, information and ideas; PREM, premises; CUST, customers; NET, network and partnership; HR, human resources; TECH, technology.

In this section, we discuss our contributions to the literature on (S)IEs and intermediaries. First, we extend existing research by highlighting two commonalities across SIEs and TIEs: the pluralistic and dynamic trajectories of intermediary use, and the distinct logics that characterise how different ventures engage with ecosystem actors over time. Second, we enrich intermediary studies by expanding existing typologies to include the overlooked role of interpersonal intermediaries in SIEs. Third, we contribute to the literature on SIEs from a resource perspective, showing how sustainability and tech start-ups follow differentiated paths of resource access and intermediary use.

Diverse pathways of intermediary use in innovation ecosystems

Our analysis shows commonalities between sustainable and technological IEs. First, all seven patterns observed in our research depart from a linear, standardised model of entrepreneurial support: none of the patterns corresponds to the sequential path often assumed in the IE literature – moving from universities, to incubators, to investors, to corporate partnerships (Adner, 2017; Jacobides et al., 2018). Instead, the seven observed patterns incorporate differences in timing, intensity, and type of support. Some pathways are front-loaded, with intensive use of support before LSR followed by a gradual reduction (P1, P2, P5); others involve limited engagement before LSR but rapid intensification afterwards (P4, P7); still others show progressive accumulation, with intermediary involvement growing steadily across the venture’s lifecycle (P6).

This diversity of trajectories underscores that pluralism is constitutive of IEs, as suggested by Klimas and Czakon (2022). Rather than converging towards a dominant model, ecosystems enable ventures to follow multiple coexisting routes (Baümle & Bizer, 2022; Borner et al., 2023). Such pluralism is particularly important in SIEs, where ventures often experience institutional misfit with conventional structures and therefore require alternative routes to legitimacy and resource access (Chen et al., 2024; Kivimaa et al., 2019). From this perspective, non-linearity is not a deviation or inefficiency but a core feature of ecosystem functioning: it reflects the adaptive, negotiated, and context-specific ways in which start-ups make use of combinations of intermediaries over time. By documenting these plural, non-linear pathways, our study extends prior work that often conceptualises ecosystems as orchestrated structures coordinated by a focal actor (Adner, 2017; Jacobides et al., 2018). Further, our findings support recent calls to view ecosystems as pluralistic fields in which heterogeneous logics and trajectories coexist (Bozhikin, 2023; Sultana & Turkina, 2023), and confirm prior findings of Baümle and Bizer (2022) and Borner et al. (2023). This contributes to innovation ecosystem theory by shifting attention from the orchestration of IEs towards multipath use of intermediaries by start-ups (Acs et al., 2016; Marcon & Duarte, 2021), and by showing how intermediary heterogeneity sustains ventures with different strategies, goals, and legitimacy needs (Banga & Gaile-Sarkane, 2024; Jenson et al., 2019).

Second, our study reveals two distinct logics of intermediation that characterise how different types of ventures engage with ecosystem actors over time. The emancipation logic is particularly visible in P1, P2, and P5. Here, start-ups rely more heavily on intermediaries during early or transitional phases, but subsequently reduce their dependence once a threshold of legitimacy or stability is achieved. P1 start-ups, for instance, use incubators, institutions, and interpersonal ties to access resources before LSR and then reduce their reliance on those intermediaries. This is the same for P2 with companies, incubators, and universities. This suggests a strategic effort to use intermediaries as scaffolding – helpful for overcoming the ‘liability of newness’ (Marcon & Duarte Ribeiro, 2021) – while preserving autonomy and avoiding over-embeddedness in institutional structures (Attarpour et al., 2024). In this sense, intermediation is temporary and instrumental, mobilised to achieve key milestones (e.g., securing first funding, finding premises, etc.) rather than accumulated indefinitely.

By contrast, P3, P4, P6, and P7 reflect an accumulative logic. First, P2 and P6 involve frequent engagement with universities and companies from the outset and progressive layering of additional intermediaries – incubators, companies, and interpersonal contacts, for instance – over time. Rather than phasing out earlier support, start-ups associated with these patterns expand their networks of intermediaries, creating dense webs of partnerships that sustain growth and (technological) development. Second, P3 and P4 involve engagement with multiple intermediaries, switching between them over time: P3 start-ups begin with institutions and interpersonal contacts, for instance, and progressively switch to institutions and companies. Here, intermediation is understood less as scaffolding and more as a platform for scaling, consistent with what has been described as ‘accumulative structures’ in prior research on IEs (Adner, 2006; Clarysse et al., 2014; Hausberg & Korreck, 2020). Importantly, emancipation and accumulation should not be seen as mutually exclusive categories, but rather as potential combinations applied to diverse sets of intermediaries, both in sustainable and technological IEs.

By identifying these contrasting logics, not exclusive to SIEs or TIEs, our study contributes to IE research by going beyond a static view of intermediary use (Bittencourt et al., 2021; Caloffi et al., 2023; Guerrero et al., 2016). It challenges the assumption of cumulative intermediation that underpins much of the IE literature (Hausberg & Korreck, 2020; McAdam & McAdam, 2008), showing that emancipation-oriented logics are equally viable. This dynamic perspective nuances prior work that often frames intermediary involvement as cumulative and linear (McAdam & McAdam, 2008). Our results show that start-ups may decrease their reliance on certain intermediaries and substitute or layer new forms of support without exiting the ecosystem altogether. We thus confirm the results of Kivimaa et al. (2019): intermediaries’ roles change over time as some are crucial at early stages, others in acceleration, and many decline in importance once a transition stabilises.

Different uses of intermediaries between sustainable and technological innovation ecosystems

Overall, the systematic comparison of one SIE and one TIE located in the same geographical area offers two novel insights about specific intermediary use to access resources in SIEs. Our findings reveal a clear divergence in the way start-ups from SIEs and TIEs mobilise intermediaries. Out of seven patterns, only one is associated equally with technological and sustainability start-ups. These differences in patterns of intermediary use lend empirical support to the views of Bozhikin (2023) and Roy and Hazenberg (2019), who argue that SIEs are not merely variants of conventional IEs.

First, we highlight the central role of interpersonal intermediaries, something which is often overlooked in the IE literature (see, for instance, Caloffi et al., 2023; Kivimaa et al., 2019; Reischauer et al., 2021; Talmar et al., 2022). Across several patterns linked largely with sustainability start-ups – P1, P3, P4, and P7 – entrepreneurs rely heavily on interpersonal ties (friends, mentors, peers, or former colleagues) and, additionally, navigate between incubators that combine public support with community-oriented missions and institutions. These intermediaries provide not only tangible resources such as information, advice, or access to premises, but also intangible forms of support – trust, reassurance, legitimacy, and mission alignment – which are crucial in navigating early uncertainty (Hernandez-Chea et al., 2021; Howells, 2006).

By contrast, in patterns dominated by tech start-ups – such as P2 – interpersonal intermediaries are used relatively less frequently than in the patterns dominated by sustainability start-ups, and mainly serve as connectors to other intermediaries, as illustrated in P2 and P3. Instead, tech start-ups rely heavily on universities (see, e.g., P2 and P6) or companies (P5) to access tangible and intangible resources (information, HR, funding, and networks, for instance) and often benefit from structured academic-to-market pipelines through universities, for instance (e.g., university incubators and dedicated unit within laboratories focused on the commercialisation of projects) (Caloffi et al., 2023).

In comparison with the two typologies of intermediaries in SIEs proposed by Yazdani et al. (2019) and Attarpour et al. (2024), our research, thanks to the quantified narration approach (Grossetti, 2005), has revealed the role of interpersonal intermediaries (as Bally et al., 2025b), demonstrating their salience across SIEs. These findings challenge previous studies on IEs, such as those undertaken by Ojaghi et al. (2019), which reported limited reliance on interpersonal links among young start-ups, and complement recent research, such as Chen et al. (2024), on the role of such intermediaries. We can relate those findings to other previous research, showing that sustainability start-ups often have to compensate for institutional intermediary misfit (Sultana & Turkina, 2023; Talmar et al., 2022). This underscores that the use of intermediaries may be ecosystem-dependent, but is also influenced by entrepreneurs’ prior trajectories and existing connections (Josserand et al., 2004) to the IE (Aarikka-Stenroos & Ritala, 2017).

Additionally, our findings indicate that calls to recognise that IEs are not just technical or financial infrastructures, but also relationally embedded systems (Banga & Gaile-Sarkane, 2024), particularly fit with the case of SIEs. Our study thus contributes to the growing body of research on intermediaries in sustainability transitions (Caloffi et al., 2023; Kivimaa et al., 2019) by foregrounding the less visible and often affective dimensions of intermediaries. Thus, we show that IEs – particularly sustainable ones – depend on a hidden infrastructure of interpersonal intermediaries that provides the necessary tangible and intangible resources for ventures to start and grow (Kivimaa et al., 2019). Ultimately, our findings suggest that institutional orchestration may not offer the right lens for looking at SIEs (Kivimaa, 2014; Noviaristanti et al., 2024); rather, they should be seen as pluralistic networks where informal and formal intermediaries co-constitute entrepreneurial pathways, to enhance start-ups’ performance (Hakala et al., 2020).

Second, beyond these differences in the use of interpersonal intermediaries, our analysis shows surprising results in how sustainability and tech start-ups leverage the same set of intermediaries to access different resources. Patterns mainly associated with sustainability start-ups (P1, P4, P7) tend to draw more heavily on legitimacy-oriented and organisational resources –for example, advice, premises, and early funding – from institutions, reflecting their need to secure credibility and navigate institutional misfit. By contrast, patterns mainly associated with tech start-ups (P2, P5, P6) mobilise institutional intermediaries to access technical and scaling resources, including human resources and networks. Similarly, while sustainability start-ups mainly use incubators to access commercial advice, premises, and information (see P7 for instance), tech start-ups rely on incubators to access, primarily, information, funding, and networks. Our use of a lens focused on resources and intermediaries answers the call of Gliedt et al. (2018) to investigate the interactions of sustainability-oriented innovation intermediaries with entrepreneurs and complements previous results presented by Kanda et al. (2019) on the role of intermediaries in IEs and the resources they bring to start-ups.

In sum, our findings highlight the plural, dynamic, and heterogeneous nature of intermediation in (sustainable) IEs. By unpacking non-linear pathways, contrasting logics of emancipation and accumulation, uncovering the hidden role of interpersonal intermediaries, and demonstrating differentiated bundles of resources between sustainability and tech start-ups, we move beyond linear and cumulative conceptions of ecosystem support. These insights indicate that start-ups are not passive recipients of intermediation, but strategic actors navigating diverse constellations of intermediaries to meet evolving needs.

Managerial recommendations

Examining two IEs within a specific territory yields several recommendations for intermediaries and other stakeholders aiming to foster more effective collaboration and support for start-ups. Based on our findings, we propose four recommendations.

First, the patterns identified in our empirical data suggest that intermediary support systems should be tailored to the specific needs of start-ups within different IEs. The differences observed here in the mobilisation of intermediaries between the two IEs (i.e., the SIE and TIE) challenge the prevailing ‘one-size-fits-all’ approach to start-up support found in many regional innovation policies. In SIEs, intermediaries should tailor their offerings to the needs of sustainability start-ups at different stages in their development. Some start-ups require early-stage support to gain legitimacy (P1), while others need structuring support and network access after LSR (P4 and P7).

Second, public institutions play a critical role for sustainability start-ups by providing, for instance, funding, information, advice, and credibility. These actors should invest in proactive outreach and personalised services and support, particularly for sustainability start-ups with unconventional models or missions. Local government could assist by creating embedded support officers who act as relational brokers.

Third, universities could be encouraged to open their support structures to sustainable innovation. The near absence of universities in the development of sustainability start-ups suggests a misfit between valorisation logic (that seems to fit well in TIEs) and societal impact goals. University-based incubators and tech transfer offices should broaden their remits and enrich their existing dedicated tracks for students to offer access to space, coaching, and research collaboration aimed at sustainability start-ups.

Fourth, value-aligned corporate partnerships should be promoted. Sustainability start-ups engage with company intermediaries only cautiously and often after LSR, typically as suppliers and clients and not as strategic co-developers. For companies looking to support sustainable innovation, this implies a need to adapt expectations and communication strategies, and to position themselves as value-compatible enablers for sustainability start-ups, rather than just as investors or acquirers.

Limitations and further research

Although this study provides novel insights into how sustainability start-ups mobilise intermediaries in SIEs, the study has limitations which offer avenues for further research.

First, the analysis is grounded in a single regional ecosystem, which, although rich and diverse, may limit the generalisability of the identified intermediation patterns. Regional policy configurations, institutional density, and the maturity of support infrastructures can vary significantly across ecosystems (Scaringella & Radizon, 2018). Future research should adopt a comparative, multisite design to explore how intermediary dynamics differ across geographical, policy, or cultural contexts – particularly between emerging and mature ecosystems. Similarly, different types of SIEs as identified by Bozhikin (2023) could be further analysed and compared. Such exploration could help to refine the patterns reported here.

Second, our study relies on retrospective, self-reported data from start-up founders, which may be subject to recall bias or selective emphasis. While our qualitative approach allows deep exploration and interpretation of intermediary roles, start-up choices and the mobilisation of intermediaries, work using longitudinal methods could be undertaken to complement this.

Third, while this research highlights the critical role of interpersonal intermediaries, it does not fully unpack the governance, accountability, or power dynamics within these relationships. Questions remain about how intermediaries influence start-up trajectories, shape ecosystem norms, or mediate tensions between social, sustainable, and commercial goals (Caloffi et al., 2023; Kivimaa et al., 2019). Further research could explore these dynamics – their strategies, constraints, and roles as institutional entrepreneurs within the ecosystem – by focusing on the intermediaries themselves.

Finally, this study does not assess the long-term outcomes of different intermediation patterns. While we show how start-ups engage intermediaries at various stages, future work could examine how these patterns of engagement influence performance metrics such as survival, growth, societal impact, or systemic change. A finer-grained understanding of how intermediation relates to long-term entrepreneurial success – particularly for sustainability start-ups – would significantly advance theory and practice in this field.

Conclusion

This study explored how start-ups mobilise intermediaries to access resources within an SIE and a TIE. Using a comparative analysis of 90 start-ups, we identified seven distinct intermediation patterns and revealed three dominant trajectories specific to sustainability start-ups: early-stage intermediation followed by disintermediation, post-launch anchoring, and lean entry followed by incubator engagement. By analysing these patterns, our study makes three main contributions. First, we advance research on innovation ecosystems by showing that both SIEs and TIEs are characterised by diverse, evolving trajectories of intermediary use, as well as by distinct logics that shape how ventures interact with ecosystem actors. Second, we broaden the scope of intermediary studies by incorporating the often-overlooked role of interpersonal intermediaries into existing typologies. Third, we contribute to scholarship on SIEs by adopting a resource-based lens, demonstrating that sustainability-oriented and technology-oriented startups pursue different routes to mobilise resources and engage with intermediaries.

These insights call for more flexible, differentiated policy action and support intermediaries that reflect the heterogeneity of start-up trajectories in IEs committed to social and environmental goals.

Acknowledgments

The authors thank Alison Platts for her copy-editing of the final version. Authors declare that they used ChatGPT in order to improve the grammar and fluency of the manuscript (round 1 and round 2).

References

Aarikka-Stenroos, L. & Ritala, P. (2017). Network management in the era of ecosystems: Systematic review and management framework. Industrial Marketing Management, 67, 23–36. https://doi.org/10.1016/j.indmarman.2017.08.010.

Acs, Z., Åstebro, T., Audretsch, D. & Robinson, D. T. (2016). Public policy to promote entrepreneurship: A call to arms. Small Business Economics, 47, 35–51. https://doi.org/10.1007/s11187-016-9712-2.

Attarpour, M., Elyasi, M., Mohammadi, A. & Rezaalizadeh, H. (2024). Create and strengthening innovation ecosystem: Roles of policy-affiliated transition intermediaries in latecomers. Journal of Science and Technology Policy Management. https://doi.org/10.1108/JSTPM-11-2023-0194.

Bally, F., Tallec, J. & Daudigeos, T. (2025a). Les sentiers d’un entrepreneuriat métropolitain innovant. Adaptation et dépendance à Grenoble. Autrement.

Bally, F., Daudigeos, T., Calamel, L. & Tallec, J. (2025b). Where and how do social entrepreneurs access resources in the early stages of their ventures? A relational chain typology of French social ventures. Journal of Business Research, 201, 115732. https://doi.org/10.1016/j.jbusres.2025.115732.

Banga, K. & Gaile-Sarkane, E. (2024). Role of the bridge maker in innovation ecosystems. Journal of Systemics, Cybernetics and Informatics, 22(5), 68–76. https://doi.org/10.54808/JSCI.22.05.68.

Battilana, J. (2018). Cracking the organizational challenge of pursuing joint social and financial goals: Social enterprise as a laboratory to understand hybrid organizing. M@n@gement, 21(4), 1278–1305. https://doi.org/10.3917/mana.214.1278.

Bernady de Sigoyer, M. & Boisgontier, P. (1996). La technopole. Une certaine idée de la ville. L’Harmattan.

Bittencourt, B. A., dos Santos, D. A. G. & Mignoni, J. (2021). Resource orchestration in innovation ecosystems: A comparative study between innovation ecosystems at different stages of development. International Journal of Innovation, 9(1), 108–130. https://doi.org/10.5585/iji.v9i1.18076.

Bozhikin, I. (2023). Social entrepreneurship ecosystems in the scientific literature: Patterns and groups, factors and ecological problem-solving. Journal of Developmental Entrepreneurship, 28(2), 2350014. https://doi.org/10.1142/S1084946723500140.

Calcagnini, G., Favaretto, I., Giombini, G., Perugini, F. et al. (2016). The role of universities in the location of innovative start-ups. The Journal of Technology Transfer, 41, 670–693. https://doi.org/10.1007/s10961-015-9396-9.

Caloffi, A., Colovic, A., Rizzoli, V. & Rossi, F. (2023). Innovation intermediaries’ types and functions: A computational analysis of the literature. Technological Forecasting and Social Change, 189, 122351. https://doi.org/10.1016/j.techfore.2023.122351.

Chapus, Q. & Nordman, C. J. (2021). You’re all I need to get by? Analyzing young entrepreneurs’ networks in Morocco from a ‘quantified narratives’ method. Social Networks, 66, 211–223. https://doi.org/10.1016/j.socnet.2021.03.004.

Chen, X., He, Z., Jiang, T. & Xiang, G. (2024). From behind the scenes to the forefront: How do intermediaries lead the construction of international innovation ecosystems? Technology Analysis & Strategic Management, 36(10), 2969–2984. https://doi.org/10.1080/09537325.2023.2182614.

Clarysse, B. & Bruneel, J. (2007). Nurturing and growing innovative start-ups: The role of policy as integrator. R&D Management, 37(2), 139–149. https://doi.org/10.1111/j.1467-9310.2007.00463.x.

Colovic, A. (2019). Cluster connectivity and inter-cluster alliance portfolio configuration in knowledge-intensive industries. M@n@gement, 22(4), 619–635. https://doi.org/10.3917/mana.224.0619.

Costa, J. & Matias, J. C. O. (2020). Open innovation 4.0 as an enhancer of sustainable innovation ecosystems. Sustainability, 12(19), 8112. https://doi.org/10.3390/su12198112.

Dacin, M. T., Dacin, P. A. & Tracey, P. (2011). Social entrepreneurship: A critique and future directions. Organization Science, 22(5), 1203–1213. https://doi.org/10.1287/orsc.1100.0620.

Desa, G. & Basu, S. (2013). Optimization or bricolage? Overcoming resource constraints in global social entrepreneurship. Strategic Entrepreneurship Journal, 7(1), 26–49. https://doi.org/10.1002/sej.1150.

Du, J. (2021). The up- and downside of collaboration in core and non-core technologies—selective, contingent, and orchestrated openness in R&D collaborations. Industrial Marketing Management, 94, 187–201. https://doi.org/10.1016/j.indmarman.2021.02.010.

Fischer, C. S. (1982). What do we mean by ‘friend’? An inductive study. Social Networks, 3(4), 287–306. https://doi.org/10.1016/0378-8733(82)90004-1.

Fukuda, K. & Watanabe, C. (2012). Innovation ecosystem for sustainable development. In C. Ghenai (Eds.), Sustainable development–policy and urban development–tourism, life science, management and environment (pp. 390–404). IntechOpen.

Gliedt, T., Hoicka, C. E. & Jackson, N. (2018). Innovation intermediaries accelerating environmental sustainability transitions. Journal of Cleaner Production, 174, 1247–1261. https://doi.org/10.1016/j.jclepro.2017.11.054.

Granovetter, M. S. (1973). The strength of weak ties. American Journal of Sociology, 78(6), 1360–1380. https://doi.org/10.1086/225469.

Granstrand, O. & Holgersson, M. (2020). Innovation ecosystems: A conceptual review and a new definition. Technovation, 90–91, 102098. https://doi.org/10.1016/j.technovation.2019.102098.

Grossetti, M. (2005). Where do social relations come from?: A study of personal networks in the Toulouse area of France. Social Networks, 27(4), 289–300. https://doi.org/10.1016/j.socnet.2004.11.004.

Grossetti, M., Barthe, J.-F. & Chauvac, N. (2011). Studying relational chains from narrative material. Bulletin of Sociological Methodology/Bulletin de Méthodologie Sociologique, 110(1), 11–25. https://doi.org/10.1177/0759106311399553.

Gu, Y., Hu, L., Zhang, H. & Hou, C. (2021). Innovation ecosystem research: Emerging trends and future research. Sustainability, 13(20), 11458. https://doi.org/10.3390/su132011458.

Guerrero, M., Urbano, D., Fayolle, A., Klofsten, M. et al. (2016). Entrepreneurial universities: Emerging models in the new social and economic landscape. Small Business Economics, 47, 551–563. https://doi.org/10.1007/s11187-016-9755-4.

Haines, T. (2016). Developing a startup and innovation ecosystem in regional Australia. Technology Innovation Management Review, 6(6), 24–32. https://doi.org/10.22215/timreview/994.

Hakala, H., O’Shea, G., Farny, S. & Luoto, S. (2020). Re-storying the business, innovation and entrepreneurial ecosystem concepts: The model-narrative review method. International Journal of Management Reviews, 22(1), 10–32. https://doi.org/10.1111/ijmr.12212.

Ho, J.-Y. & Yoon, S. (2022). Ambiguous roles of intermediaries in social entrepreneurship: The case of social innovation system in South Korea. Technological Forecasting and Social Change, 175, 121324. https://doi.org/10.1016/j.techfore.2021.121324.

Howells, J. (2006). Intermediation and the role of intermediaries in innovation. Research Policy, 35(5), 715–728. https://doi.org/10.1016/j.respol.2006.03.005.

Iansiti, M. & Levien, R. (2004). Keystones and dominators: Framing operating and technology strategy in a business ecosystem. Harvard Business School Press.

Josserand, E., Clegg, S., Kornberger, M. & Pitsis, T. S. (2004). Friends or foes? Practicing collaboration—an introduction. M@n@gement, 7(3), 37–45. https://doi.org/10.3917/mana.073.0037.

Kanda, W., del Río, P., Hjelm, O. & Bienkowska, D. (2019). A technological innovation systems approach to analyse the roles of intermediaries in eco-innovation. Journal of Cleaner Production, 227, 1136–1148. https://doi.org/10.1016/j.jclepro.2019.04.230.

Kaufman, L. & Rousseeuw, P. J. (2009). Finding groups in data: An introduction to cluster analysis. John Wiley & Sons.

Kivimaa, P., Boon, W., Hyysalo, S. & Klerkx, L. (2019). Towards a typology of intermediaries in sustainability transitions: A systematic review and a research agenda. Research Policy, 48(4), 1062–1075. https://doi.org/10.1016/j.respol.2018.10.006.

Klimas, P. & Czakon, W. (2022). Gaming innovation ecosystem: Actors, roles and co-innovation processes. Review of Managerial Science, 16(7), 2213–2259. https://doi.org/10.1007/s11846-022-00518-8.

Koenig, G. (2012). Le concept d’écosystème d’affaires revisité. M@n@gement, 15(2), 209–224. https://doi.org/10.3917/mana.152.0209.

Li-Ying, J., Sofka, W. & Tuertscher, P. (2022). Managing innovation ecosystems around big science organizations. Technovation, 116, 102523. https://doi.org/10.1016/j.technovation.2022.102523.

Mair, J. & Martí, I. (2006). Social entrepreneurship research: A source of explanation, prediction, and delight. Journal of World Business, 41(1), 36–44. https://doi.org/10.1016/j.jwb.2005.09.002.

Marcon, A. & Ribeiro, J. L. D. (2021). How do startups manage external resources in innovation ecosystems? A resource perspective of startups’ lifecycle. Technological Forecasting and Social Change, 171, 120965. https://doi.org/10.1016/j.techfore.2021.120965.

McAdam, M. & McAdam, R. (2008). High tech start-ups in University Science Park incubators: The relationship between the start-up’s lifecycle progression and use of the incubator’s resources. Technovation, 28(5), 277–290. https://doi.org/10.1016/j.technovation.2007.07.012.

Moore, J. F. (1993). Predators and prey: A new ecology of competition. Harvard Business Review, 71(3), 75–86. https://hbr.org/1993/05/predators-and-prey-a-new-ecology-of-competition.

Noviaristanti, S., Acur, N. & Mendibil, K. (2024). The different roles of innovation intermediaries to generate value. Management Review Quarterly, 74, 2545–2577. https://doi.org/10.1007/s11301-023-00364-2.

Nylund, P. A., Brem, A. & Agarwal, N. (2021). Innovation ecosystems for meeting sustainable development goals: The evolving roles of multinational enterprises. Journal of Cleaner Production, 281, 125329. https://doi.org/10.1016/j.jclepro.2020.125329.

Ojaghi, H., Mohammadi, M. & Yazdani, H. R. (2019). A synthesized framework for the formation of startups’ innovation ecosystem: A systematic literature review. Journal of Science and Technology Policy Management, 10(5), 1063–1097. https://doi.org/10.1108/JSTPM-07-2018-0071.

Parag, Y. & Janda, K. B. (2014). More than filler: Middle actors and socio-technical change in the energy system from the ‘middle-out’. Energy Research & Social Science, 3, 102–112. https://doi.org/10.1016/j.erss.2014.07.011.

Polzin, F., von Flotow, P. & Klerkx, L. (2016). Addressing barriers to eco-innovation: Exploring the finance mobilisation functions of institutional innovation intermediaries. Technological Forecasting and Social Change, 103, 34–46. https://doi.org/10.1016/j.techfore.2015.10.001.

Reischauer, G., Güttel, W. H. & Schüssler, E. (2021). Aligning the design of intermediary organisations with the ecosystem. Industry and Innovation, 28(5), 594–619. https://doi.org/10.1080/13662716.2021.1879737.

Roy, M. J. & Hazenberg, R. (2019). An evolutionary perspective on social entrepreneurship ‘ecosystems’. In A. de Bruin & S. Teasdale (Eds.), A research agenda for social entrepreneurship (pp. 13–22). Edward Elgar.

Ruiz, É. & Gandia, R. (2023). The key role of the event in combining business and community-based logics for managing an ecosystem: Empirical evidence from Lyon e-Sport. European Management Journal, 41(4), 560–574. https://doi.org/10.1016/j.emj.2022.07.005.

Scaringella, L. & Radziwon, A. (2018). Innovation, entrepreneurial, knowledge, and business ecosystems: Old wine in new bottles? Technological Forecasting and Social Change, 136, 59–87. https://doi.org/10.1016/j.techfore.2017.09.023.

Sultana, N. & Turkina, E. (2023). Collaboration for sustainable innovation ecosystem: The role of intermediaries. Sustainability, 15(10), 7754. https://doi.org/10.3390/su15107754.

Talmar, M., Walrave, B., Raven, R. & Romme, A. G. L. (2022). Dynamism in policy-affiliated transition intermediaries. Renewable and Sustainable Energy Reviews, 159, 112210. https://doi.org/10.1016/j.rser.2022.112210.

Theodoraki, C. (2020). A holistic approach to incubator strategies in the entrepreneurial support ecosystem. M@n@gement, 23(4), 13–27. https://doi.org/10.37725/mgmt.v23i4.4412.

Wareham, J., Fox, P. B. & Cano Giner, J. L. (2014). Technology ecosystem governance. Organization Science, 25(4), 1195–1215. https://doi.org/10.1287/orsc.2014.0895.

Wolf, P., Harboe, J., Sudbrack Rothbarth, C., Gaudenz, U. et al. (2021). Non-governmental organisations and universities as transition intermediaries in sustainability transformations building on grassroots initiatives. Creativity and Innovation Management, 30(3), 596–618. https://doi.org/10.1111/caim.12425.

Appendices

Appendix 1. Characteristics of start-ups included in the research
Theme Founded in Number of founders Activities Theme Founded in Number of founders Activities
SUST1 Other 2016 2 Services TECH1 Technical innovation 2017 3 Goods
SUST2 Mobility 2015 1 Goods TECH2 Technical innovation 2016 2 Goods
SUST3 Housing 2015 1 Services TECH3 Technical innovation 2014 1 Goods
SUST4 Other 2019 2 Services TECH4 Technical innovation 2018 1 Goods
SUST5 Mobility 2016 2 Services TECH5 Software development 2017 2 Services
SUST6 Waste and recycling 2018 2 Goods TECH6 Connected objects 2016 2 Services
SUST7 Care 2015 1 Services TECH7 Technical innovation 2014 2 Services
SUST8 Mobility 2017 1 Services TECH8 Digital application 2018 1 Services
SUST9 Care 2014 5 Services TECH9 computer systems and software consulting 2017 6 Services
SUST10 Care 2019 3 Services TECH10 Health products 2020 4 Goods
SUST11 Mobility 2017 2 Services TECH11 Technical innovation 2020 2 Goods
SUST12 Food 2016 2 Services TECH12 Health products 2015 2 Goods
SUST13 Food 2018 2 Services TECH13 Software development 2019 1 Services
SUST14 Food 2018 4 Services TECH14 Software development 2019 2 Services
SUST15 Care 2014 3 Services TECH15 Software development 2016 3 Services
SUST16 Food 2017 4 Services TECH16 High-value product manufacturing 2016 1 Goods
SUST17 Food 2018 2 Goods TECH17 Connected objects 2020 3 Goods
SUST18 Waste and recycling 2017 2 Goods TECH18 High-value product manufacturing 2019 2 Goods
SUST20 Waste and recycling 2018 1 Goods TECH19 High-value product manufacturing 2018 2 Goods
SUST21 Waste and recycling 2018 1 Services TECH20 Computer systems and software consulting 2017 2 Services
SUST22 Care 2015 3 Services TECH21 Digital application 2020 3 Services
SUST23 Other 2017 3 Services TECH22 Digital application 2018 3 Services
SUST24 Other 2018 1 Services TECH23 Health products 2015 4 Services
SUST25 Care 2019 2 Services TECH24 Computer systems and software consulting 2015 1 Services
SUST26 Waste and recycling 2017 2 Goods TECH25 Computer systems and software consulting 2014 1 Services
SUST27 Care 2019 1 Goods TECH26 High-value product manufacturing 2017 3 Services
SUST28 Care 2017 2 Services TECH27 Health products 2018 2 Goods
SUST29 Waste and recycling 2019 2 Goods TECH28 Software development 2015 1 Services
SUST30 Mobility 2019 3 Services TECH29 Digital application 2018 1 Services
SUST31 Other 2016 3 Services TECH30 Health products 2014 2 Goods
SUST32 Food 2017 1 Goods TECH31 Health products 2016 3 Goods
SUST33 Food 2016 3 Goods TECH32 Biotechnology research and development 2015 3 Services
SUST34 Other 2016 2 Goods TECH33 Health products 2014 3 Goods
SUST35 Other 2016 2 Goods TECH34 Software development 2015 1 Goods
SUST36 Food 2018 2 Goods TECH35 Health products 2016 3 Goods
SUST37 Other 2015 1 Goods TECH36 Computer systems and software consulting 2015 1 Services
SUST38 Food 2018 1 Goods TECH37 Technical innovation 2014 2 Goods
SUST39 Food 2019 3 Services TECH38 High-value product manufacturing 2017 2 Goods
SUST40 Waste and recycling 2019 2 Goods TECH39 Software development 2020 2 Goods
TECH40 Health products 2019 2 Goods
TECH41 Technical innovation 2018 1 Goods
TECH42 Software development 2021 2 Goods
TECH43 Technical innovation 2014 2 Services
TECH44 Technical innovation 2014 3 Goods
TECH45 Technical innovation 2018 3 Services
TECH46 Software development 2015 2 Services
TECH47 Software development 2019 2 Goods
TECH48 Software development 2014 1 Goods
TECH49 Software development 2014 3 Services
TECH50 Software development 2021 3 Services
TECH51 Connected objects 2014 3 Services
Source: own elaboration

 

MGMT-28-11463-F2.jpg

Appendix 2. Patterns of intermediary use identified across all start-ups
Source: own elaboration

 

MGMT-28-11463-F3.jpg