ORIGINAL RESEARCH ARTICLE

Proximity-Based Antecedents of Agricultural Producers’ Motivations and Commitment to Adopt Local Distribution Channels: The Case of Normandy in France

Marie-Laure Baron1, Sophie Cros2*, Hamdi Radhoui3 and Youssef Tliche4

1Université Le Havre Normandie, Normandie Innovation Marché Entreprise (NIMEC), ISEL, Le Havre, France
2Université Paris 1 Panthéon-Sorbonne, PRISM-Sorbonne, École de Management de la Sorbonne, Paris, France
3IES Business School Normandie, LIESR, France
4EM Normandie, UMR Métis, Le Havre, France

 

Citation: M@n@gement 2026: 29(1): 21–41 - http://dx.doi.org/10.37725/mgmt.2025.12980.

Handling editor: Lionel Garreau

Copyright: © 2026 The Author(s). Published by AIMS, with the support of the Institute for Humanities and Social Sciences (INSHS).
This is an Open Access article distributed under the terms of the Creative Commons Attribution-NonCommercial 4.0 International License (http://creativecommons.org/licenses/by-nc/4.0/), permitting all non-commercial use, distribution, and reproduction in any medium, provided the original work is properly cited.

Received: 19 June 2025; Revised: 9 July 2025; Accepted: 26 August 2025; Published: 16 March 2026

*Corresponding author: Sophie Cros, Email: sophie.cros@univ-paris1.fr

 

Abstract

The integration of local distribution channels (LDCs) by agricultural producers plays a crucial role in regional sustainability and economic development. However, the determinants of producers’ motivations and commitment remain underexplored. This study addresses this gap by applying proximity theory to assess the antecedents influencing Norman producers’ engagement in LDCs. Through an empirical study in Normandy (France), we examine perceived cognitive, social, institutional, organizational, and geographical proximities to determine their relative impacts on producers’ commitment and motivations. Our findings reveal that these are significantly driven by cognitive, social, and institutional proximities, whereas geographical and organizational proximities, although relevant, are less important. Producers engage in LDCs primarily to exchange knowledge, collectively improve their offerings, and contribute to local development rather than being driven by purely economic incentives. This research provides a holistic, quantitative framework for understanding producers’ motivations and commitment, challenging conventional assumptions centered on geographic and organizational proximities. Offering both theoretical and managerial contributions, the proposed predictive model applies to various regional contexts. Meanwhile, decision-makers in Normandy can draw on these insights to develop policies that strengthen producer engagement in LDCs and promote more sustainable food systems.

Keywords: Local distribution channels; Food supply chains; Proximity; Motivation; Commitment; Perception; Producers

Local distribution channels (LDCs) have attracted increasing interest in the field of agriculture because of their ability to improve sustainability, enhance food quality, create local jobs, strengthen social ties, and preserve traditional knowledge (Feagan, 2007; Roep & Wiskerke, 2012; Seyfang, 2005). However, the availability of local food in LDCs is dependent on producers’ motivations and commitment to engage in such channels. Indeed, while first-tier suppliers play a crucial role in the spread of sustainability across supply chains (Wilhelm et al., 2016), the commitment of producers to LDCs has seldom been investigated. Mundler and Laughrea (2016) offered a substantial discussion of producer concerns when engaging in local food supply chains. Laughrea et al. (2018) questioned the commitment of producers in cooperatives. Despite the critical role producers play in the provision of more sustainable market alternatives, no specific research to date has been dedicated to understanding the reasons for their motivations and commitment to local food sales. Local food supply chains are also a recent phenomenon, and the research remains mostly qualitative. Concurrent quantitative studies could stabilize and strengthen the rich qualitative results provided. As we seek to better understand how interactions are shaped for producers and how they engage their resources in their local socioeconomic environment, the present study adopts a novel analytical lens centered on the concept of proximity in its various dimensions.

The notion of proximity has been increasingly used over the last two decades in the distribution sector (Bradshaw, 2001; Jakubicek & Woudsma, 2011; Klimas & Twaróg, 2015) but is relatively new in food supply chain management (Pullman & 2021). This study aims to examine, as precisely and exhaustively as possible, the motivations of producers to sell locally, that is, to market near their production site. Hence, the following research question was formulated: ‘What explains agricultural producers’ motivations and commitment to adopt local distribution channels?’ The theory of proximity, developed in economic geography and commonly used in business research, often underpins the analysis of relationships in distribution channels (Boschma, 2005b; Torre & Zuindeau, 2006). To investigate this research question, we adopted a structured, quantitative methodology grounded in proximity theory. The research followed a seven-step process starting with the design and refinement of a questionnaire, which was pretested through face-to-face interviews with local producers. It was distributed online to agricultural producers operating in LDCs across Normandy, yielding 59 valid responses. To strengthen the robustness of the statistical analyses and to ensure internal validity, we enriched the dataset through simulations based on observed distributions, resulting in 203 observations. We measured producers’ perceptions aggregated into five dimensions of proximity, namely, geographical, organizational, institutional, social, and cognitive. These proximity dimensions formed the basis for descriptive, bivariate, and multivariate analyses to assess their explanatory power regarding producers’ motivations and commitment. This methodological design offers a rigorous and replicable framework to quantify the antecedents of engagement in LDCs and reflects the specificities of the regional context.

The strong French gastronomic identity benefits from LDCs that allow consumers to enjoy fresh, traditional products while supporting regional heritage. Normandy’s agricultural specificity derives from dairy production, apple growth, diversified livestock farming, cereal crops, flax and hemp, the development of organic farming, and seafood. In addition, Normandy is characterized by a particular climate, topography, and traditions, which means its agricultural products enjoy one of the world’s highest-quality reputations. With its rich agricultural diversity across a reasonably sized territory (30,000 km2) and numerous farmers’ markets attracting both locals and tourists, Normandy offers a particularly suitable environment for LDCs focused on quality and authenticity. The context thus offers a relevant field for our empirical investigation.

All proximity dimensions are relevant to understanding the motivations underpinning LDCs. These motivations – including reducing intermediary costs, improving responsiveness to demand, and enhancing sustainability – are directly influenced by the reduced barriers offered by proximity. For example, geographical proximity not only decreases transportation costs, as shown by Christopher (2016), but also enhances supply chain flexibility, allowing for quicker responses to consumer demand fluctuations (Floriš & Schwarcz, 2018). Furthermore, cognitive and organizational proximity can facilitate communication and trust between producers and consumers, fostering cooperation that leads to more sustainable practices (e.g., reducing CO2 emissions through localized production). Empirical studies show that LDCs can result in a 20–40% decrease in logistic costs and a 30% decrease in delivery times, highlighting the direct link between proximity and these key operational improvements.

The main contributions of this study are as follows. First, from a theoretical standpoint, this research provides a predictive model based on proximity dimensions and advances the research by introducing a quantitative measure of producers’ commitment and motivations to become involved in local food distribution channels. To address the lack of empirical research on LDCs, proximity items drawn from the academic literature were aggregated into key dimensions and applied to a relevant case study, distinguished by the specificity of its regional context and the diversity of its agricultural products. From a managerial perspective, the results quantify the net average impact of significant factors on Norman producers’ commitment and motivations to engage in local food distribution channels. The models support local decision-makers in estimating the motivations and commitment of other unobserved local producers or new producers while also offering a framework that academics and practitioners from other regions can adopt.

The literature will be reviewed with a focus on the theory of proximity. The 7-step research methodology is then described. The empirical results are presented next, followed by a discussion based on the statistical analysis. Finally, the conclusion highlights the main results and identifies avenues for future research.

Literature review

After studying the reasons products are marketed locally, we mobilize the well-established theory of proximity to identify and highlight the different forms (or variables) of proximity and categorize them into dimensions.

Exploring producer commitment to local distribution channels

Academic studies often focus on environmental motivations (Gidley & Palmer, 2022). Consumer interest in local products is a widespread social phenomenon that can be observed at different scales (Lenglet & Müller, 2016). Amidst the wave of globalization, the concept of proximity emerges as a potent antidote to the perceived erosion of familiar landmarks, offering a means to address the need for reassurance by bolstering consumer confidence (Hérault-Fournier et al., 2014; Wilson et al., 2008).

The concept of LDCs in the context of the food sector in France is defined by a decrease in the number of intermediaries to ‘one’ at most. This concept promotes direct sales, and the Directorate-General for Competition, Consumer Affairs and Fraud Control thus notes the possible, but not exhaustive, outlets of open-air markets, producers’ shops, and the Association for the Maintenance of Peasant Agriculture (AMPA) – Association pour le maintien d’une agriculture paysanne. The ‘local supply chain’ platform lists farm sales, producers’ shops, basket systems, AMPA, citizen buying groups, and open markets. Chaffotte and Cheffoleau (2007) specified these typologies by presenting the channel operations, as shown in Figure 1. All of these distribution methods are near the production site and are regarded as avenues for producers to increase their output value.

MGMT-29-12980-F1.jpg

Figure 1. Direct distribution channels.
Source: Own elaboration.

As the promotion of and interest in direct supply chains have increased, the close proximity to markets offers farmers a favorable opportunity to market their goods more efficiently than they can via indirect sales (Le Nadant et al., 2018). Farmers then leverage the short distance to market and the resulting lower distribution costs to improve their economic situation and gain additional degrees of freedom in the agricultural system. However, the short geographical distance does not alone characterize local food supply chains, which feature other significant particularities, especially at the relational level. In the international academic literature, for example, local supply chains often fall within the scope of alternative food systems or networks, as opposed to conventional agri-food systems (Flynn et al., 2005; Hérault-Fournier, 2013; Renting et al., 2003). Therefore, their development is based on a strong relationship between producers and consumers.

Figure 1 shows that direct distribution channels offer more specificity than alternative food networks do since the former presupposes either an interrelationship between the actors directly involved in production, transfer, distribution, and consumption operations (Renting et al., 2003) or ‘socioeconomic relations between producers and consumers in a nearby geographical area’ (Santini et al., 2013).

While LDC development relies on geographical proximity, it also requires producers and consumers to renegotiate their relationships in the face of competition with the conventional model (Flynn et al., 2005). This development is shaped by a tension between personalized interactions in LDCs and the standardized, impersonal exchanges that dominate conventional distribution channels. Relational closeness between producers and consumers fosters heightened consumer confidence in the quality, origin, and sustainability of food products and production processes.

In direct sales, geographical proximity between producers and consumers is complemented by a relational dimension. Thus, researchers have utilized the theory of proximity to account for the different dimensions of the commercial relationship. For Bergadaà and Del Bucchia (2009), who proposed a framework to analyze proximity relationships, proximity generates trust, especially in direct sales (AMPA, markets, and producers’ points of sale), Hérault-Fournier et al. (2014) highlighted the importance of consumer confidence in these channels. The authors also noted significant differences between and within channels in terms of identity, processes, and perceived relationships. Consumer engagement is heterogeneous. While some consumers are highly engaged and seek direct interactions with producers, others engage more casually, with limited proximity and lower levels of trust.

With respect to producers, their motivations to sell in LDCs have been assessed from an economic rather than from a proximity perspective. Despite the promises of better incomes or better quality of life (less seclusion, for example), LDC studies point to mixed benefits (Mundler & Laughrea, 2016; Ouahab & Maclouf, 2020). While their revenue is improved, farmers also spend much of their time managing their local channels (Hardesty & Leff, 2010; Tegtmeier & Duffy, 2005; Uematsu & Mishra, 2011). Farmers must not only manage transportation and market their products but also build and maintain relationships with consumers. These factors reduce the advantages suggested by simple cost–benefit analyses. Moreover, participating in local channels also usually involves an increase in the number of distribution channels used by producers. As a result, the limits of a narrow economic framing become evident, which calls for alternative analytical perspectives that better capture the plurality of motivations and constraints faced by producers, such as those proposed by performativity theory (Aggeri, 2017).

The outcomes vary considerably across farms, indicating that success factors are tied to various aspects, such as location, including peri-urban areas (Gale, 1997), proficiency in communication and cultivating customer relationships (Jarosz, 2000), and the effectiveness of marketing organizations. Direct sales at farms require the least amount of specific investment and are the most profitable, followed by sales to local outlets. Community agriculture yields higher returns. In addition to income issues, stability in pricing, consumer involvement in basket schemes, and diversification through short-channel marketing mitigate the risks inherent in agricultural activities, such as fluctuations in prices and production quantities. These analyses reveal the multifaceted nature of economic success, shaped by factors that are still poorly understood. Consequently, whether participation in LDCs guarantees success remains uncertain.

A farmer’s choice of a distribution channel is a strategic decision with societal implications. It influences the economic, environmental, social, cultural, and health aspects of a community. Farmers’ decisions can contribute to more sustainable and resilient food systems, support local economies, and foster closer connections between producers and consumers (Follet, 2009).

LDC design is often understood as satisfying for the producer. Such satisfaction is derived from the greater independence achieved and from the development of customer relationships, possibly with customers who share the same values (Mundler & Laughrea, 2016). However, LDC sales have recently involved the emergence of new distribution methods such as automated vending or sales via online platforms and websites, which often restrict or standardize customer interactions. The promotion of these local channels by authorities through agricultural chambers, along with increasing producer participation, reflects a trend toward mainstream adoption and increasing industrialization within LDCs. Thus, the initial marginal and militant model, which prioritized relational and identity proximities, transitions into a more stable model in which commitment is less intense and functionality reassumes its paramount importance. Prominent brands such as Priméal are marketed extensively through alternative distribution channels, and large-scale retailers are involved increasingly in distributing local products. Numerous farmers specializing in field crops are dedicated to selling to local channels. The communal dimension of the local supply chain seems to be fading, shifting toward a focus on decreasing the physical distance between stakeholders in line with local development strategies.

Thus, a study of producers’ motivations is particularly useful. These motivations have rarely been studied, and given the recommended increase in local supply chains, we need to study the factors that contribute to producer commitment in LDCs. From a theoretical perspective, this study helps measure the gap between the ideal and real models of the local food supply chain. This research also provides public actors involved in promoting LDCs with insights so they can focus their supporting efforts. Given the definitions in the literature and the work on consumers highlighting the importance of the proximity relationship within the circuit, the theory of proximity is mobilized (Bellet et al., 1998; Dupuy & Burmeister, 2003; Gilly & Torre, 2000; Olivier & Jean-Benoît, 2004; Pecqueur & Zimmermann, 2004; Rallet & Torre, 1995; Torre & Talbot, 2018), specifically, socioeconomic proximity (Torre, 2009). Moreover, as producers must earn a living from their work, the economic dimension of engaging in LDCs is considered.

From geographical proximity to the activation of other proximity forms

Numerous studies have been devoted to proximity since the 2000s, following Boschma (2005b), and have given rise to multiple categorizations of proximity forms (Lenglet & Müller, 2016). Much of the research on the distribution system considers proximity from the consumer’s standpoint.

Bergadaà and Del Bucchia (2009) considered the consumer and defined five dimensions of proximity applicable to distribution: the access principle (distance, time, and convenience of access), functional proximity (efficiency of shopping activity), relational proximity (reception, listening, availability of the seller, and bases of trust), identity proximity (adherence to company values and basis of loyalty), and proximity of process (adherence to the internal functioning of the store). Instead of replacing trust (Bergadaà & Del Bucchia, 2009), Boschma (2005b) and Dupuy and Torre (2004) showed that proximity may generate trust.

Hérault-Fournier et al. (2012, 2014) defined the LDC proximity as perceived by consumers from four dimensions: access (possibility of easily reaching the point of sale in terms of physical distance as well as the time and costs of transport and communication), relational (creation of a direct link with the producer at the place of distribution), identity (the sharing of values concerning the ways of producing and consuming), and process (the sharing of knowledge about product quality and origin and knowing the producers’ methods of producing, processing, and distributing).

Finally, a framework intended to indicate the desired positioning of French retailers was proposed in Capo and Chanut (2013), based on proximity as a source of differentiation. Seven proximity dimensions were operationalized: spatial, functional, relational, identity, process, interorganizational (on the organization of relations with the producer), and price (adaptation of the circuit to consumer expectations).

To frame this analysis, the first dedicated to producers, we return to Boschma (2005b), even though our categories would obviously reiterate some of the previously identified categories. Boschma’s terminology (Boschma, 2005a, 2005b) is highly operational and widely used in the research found in international journals such as Capot and Chanut (2013) and Bergadaà and Del Bucchia (2009).

Some proximities adopt values that can be considered objective, such as geographical distance, but that can also be considered subjective (for example, 25 km can be considered close or far depending on the context). Therefore, since we focus on producers’ perceptions, we consider the perceptions of the various proximity dimensions as subjectively collected data.

Geographical proximity facilitates the activation of additional mechanisms and forms of proximity (Boschma, 2005b), which strengthen the interactions among market participants, producers, retailers, and consumers, making exchanges more meaningful. As Talbot stated, ‘The low physical distance transforms into geographical proximity when actors assign it the role of facilitating face-to-face interactions and attribute to space a specific function, shaping the dynamics of social groups’ (Talbot, 2010, p. 136). From its start, proximity theory has recognized the crucial role of space, seeing it as more than a residual factor in innovation, organization, production, or industrial configurations (Dupuy & Gilly, 1995). It allows the occurrence of another form of proximity, socioeconomic proximity (Torre, 2009).

Geographical proximity is valuable because it can facilitate and coordinate exchanges across a range of socioeconomic dimensions. These dimensions help characterize, in various contexts, socioeconomic or ‘organized’ proximity – the different ways in which actors maintain closeness beyond the geographical relationship (Torre, 2009). The literature extensively explores geographical proximity through various variables, including physical distance, access time (Boschma, 2005b), transportation costs, communication costs (Blanc & Sierra, 1999; Pecqueur & Zimmermann, 2002), the importance of customer service (Capo & Chanut, 2013), transportation networks, infrastructure quality, and natural or common-interest production factors. A producer’s motivation to market goods through local channels can be influenced by market accessibility in terms of distance to a densely populated area, time, customer service significance, or communication costs. Geographical proximity can have heterogeneous impacts depending on the location of the farm (Gale, 1997).

H1: Producers’ commitment to and motivations for engaging in LDCs depend on the perceived geographical proximity of their farm to the consumers’ area (Blanc & Sierra, 1999; Boschma, 2005b; Pecqueur & Zimmermann, 2002).

Organizational proximity

Organizational proximity describes the extent to which relationships are embedded in an organizational structure, either within or across organizations. Boschma (2005b) discusses interorganizational cooperation, but this perspective has been expanded to include LDCs, emphasizing interactions that may be based on informal, yet credible arrangements founded on shared values. The literature approaches organizational proximity through factors such as cultural and structural similarities, relationship dynamics (e.g., with operators), control mechanisms, knowledge contributions, trust, communication, shared values or visions, commitment, interorganizational integration of information systems, and information-sharing technology (Boschma, 2005a; Geldes et al., 2015; Simpson et al., 2021). In local food supply chains, producer commitment to organizational proximity depends on how well the organization accommodates their needs. This factor can be evaluated by how effectively the marketing channel considers producer constraints, such as the efficient flow of information, coordinated supplies (minimizing adaptation requirements, Mundler & Laughrea, 2016), balanced negotiations compared with conventional channels (Renting et al., 2003), compliance with codes of conduct, synchronization with the production pace, problem-solving responsiveness, and facilitation of mutual agreements.

H2: Producers’ commitment to and motivations for engaging in LDCs depend on their perceived organizational proximity (Boschma, 2005a; Geldes et al., 2015; Simpson et al., 2021).

Institutional proximity

Institutional proximity refers to all practices, laws, and rules that facilitate collective action, the rules of the game, the adherence of agents to a common representation space, as well as models and rules of thought and action (Boschma, 2005b; Geldes et al., 2015; Wu & Jia, 2018). It involves respect for laws and regulations, practices and routines, cultural level, common values, trust based on common institutions, and similar habits and routines. Producers’ motivations to market locally are associated with the perception of great respect for the collective rules and great confidence within the circuit. A positive relationship between these variables is expected. The antecedents of institutional proximity in relation to values in the literature have been attributed to LDCs, such as healthier products (Roep & Wiskerke, 2012), freedom of action (Mundler & Laughrea, 2016), local development contributions (Roep & Wiskerke), environmental concerns (reduced packaging), and the possibility of interacting with other producers and with consumers. Within this framework, these values shape interactions among players, and producers’ values induce them to commit to local food supply chains.

H3: Producers’ commitment and motivations to participate in LDCs are strengthened by perceived institutional proximity (Boschma, 2005b; Geldes et al., 2015; Wu & Jia, 2018).

Social proximity

Social ties or relations affect economic outcomes (Boschma, 2005a). Social proximity is defined via friendship, reputation, common work and experiences, a common history and past experiences, or trust based on social relationships (Boschma, 2005b; Tang, 2018; Wiengarten et al., 2021). In local food supply chains, social proximity could stem from relationships with other producers or retailers that share similar values. Social proximity is sometimes viewed as a prerequisite for cognitive learning. The existence of such positive ties should positively affect producers’ commitment to LDCs.

H4: Producers’ commitment to and motivations to engage in LDCs are influenced by perceived social proximity (Boschma, 2005b; Tang, 2018; Wiengarten et al., 2021).

Cognitive proximity

The notion of cognitive proximity involves acquiring knowledge by communicating with others to improve one’s productive condition and innovation. This process implies both differences and similarities between individuals such that people sharing the same knowledge base and expertise (similarity) can learn from each other (differences). This process involves not only the speed and efficiency of information acquisition but also the extension of the scope of knowledge (Boschma, 2005b). Cognitive proximity is referred to in the literature in terms of similarity in the way actors perceive, interpret, understand, and evaluate the world. Enablers are the experiential level; language; knowledge base; educational level; cultural level; knowledge gap; exchange with the consumer on products; modes of production and preparation; ability to communicate with the consumer (marketing); and sharing ways of producing, processing, and distributing (Boschma, 2005b, Bouba-Olga & Grossetti, 2008). The knowledge level, such as the ability to manage LDCs (Mundler & Laughrea, 2016), is a factor that can affect the motivations of producers. In contrast, cognitive proximity can also be measured negatively by acknowledging a need to exchange more with counterparts, regardless of the enablers. The need to exchange with counterparts reveals a lack of knowledge, which affects the commitment to engage in LDCs.

H5: Producer commitment and motivations to engage in LDCs are affected by perceived cognitive proximity (Boschma, 2005b; Mundler & Laughrea, 2016).

The various forms of proximity are all motivations for participating in LDCs.

Other motivations associated with local distribution channels

Mundler and Laughrea (2016) highlighted various motivation sources and noted farmers are necessarily concerned with economic motivations. The income generated by LDC activities and their improvement are factors that influence the motivations of producers. These factors qualify producers’ satisfaction levels with local supply chains and thus motivations, regardless of the effects of the different proximity dimensions.

The literature review by Mundler and Laughrea (2016) shows that farmers engaged in LDCs experience varying levels of success, as reported by various studies. To better understand this heterogeneity and to account for various economic and noneconomic variables (e.g., Figure 2), a sixth hypothesis was developed. While previous research has identified correlations among certain variables (Geldes et al., 2015), our approach treats the explanatory variables as independent – or at least not highly correlated – to avoid multicollinearity issues that could distort estimation and interpretation (Bayman & Dexter, 2021). Accordingly, this study focuses on how these variables influence producers’ motivations and commitment, rather than on how these variables influence each other.

H6: Different proximity dimensions are not strongly correlated.

MGMT-29-12980-F2.jpg

Figure 2. The motivations and commitment of producers to engage in LDCs as well as the proximity dimensions and variables extracted from the literature review.
Source: Own elaboration.

Research methodology

The research methodology adopted in this paper is a seven-step procedure, as shown in Figure 3. To ensure rigor and clarity, the methodology is broken into stages. The quantitative methodology is adopted in this research as it focuses on measuring and quantifying phenomena via statistical methods. In contrast to a qualitative analysis, a quantitative analysis allows us to ensure a certain degree of objectivity, make the results generalizable to larger populations, quantify the relationships that may exist between variables, and perform statistical tests to determine the significance of the results (Fryer et al., 2018).

MGMT-29-12980-F3.jpg

Figure 3. Methodology.
Source: Own elaboration.

Our methodology involves a small sample size. Considering the limited expertise in the field and the explanatory phase of the study, we used an econometric method to collect the data. First, a trial phase was performed with face-to-face interviews in local markets (eight observations) to better evaluate how well the producers understood the items. This trial version of the questionnaire was subsequently adapted to the study expectations. Next, the questionnaire was sent using Sphinx Online; 65 questionnaires were collected, and 59 valid responses were retained.

To ensure external significance, we computed the means and standard deviations of the variables to simulate observations according to the normal distribution, for which we considered the integer parts. Simulating the data and increasing the sample size do not change the significance of the results but enrich the sample with greater variability and ensure robustness in the context of data that are more volatile (Abell et al., 2023).

Specifically, this section includes variable selection and aggregation, the research area, and the research design. The step-by-step method helps ensure that the variables are relevant, thus contributing to the internal significance of the model.

Variable selection

The selected variables are presented in Table 1 (Appendix 1). In addition to proximity variables, economic variables (Figure 2), such as the satisfaction of economic objectives, were used, which resulted in a set of variables serving as the basis for this study. This variable set is important because producers’ motivations and commitment to engage in LDCs rely upon their ability to earn a living from this activity. The importance of proximity is contingent on the economic viability of the project (Knickel et al., 2018).

Research area

The Normandy region in France was chosen as the study area. The food industry of this region is a sector of excellence driven by high-quality agriculture and seafood products. With 25,500 jobs, the food industry is the third largest economic sector in the region, combining traditional and innovative methods. Additionally, the Normandy region ranks second in France in terms of the production of cream, butter, and fresh and soft cow milk cheeses. The region’s reputation is further enhanced by the production of products with protected designations of origins (PDOs).

Research design

A questionnaire was used to measure the variables. The questionnaire aimed to assess the geographical proximity between producers and their customers, organizational proximity, institutional proximity, social proximity, and the cognitive proximity perceived by producers after engaging in LDCs. Additional questions were included to better define the sample characteristics. Table 1 (Appendix 1) lists all of the proximity dimension items from the literature. We then analyzed the questionnaire and used the PLS model to retain only significant variables. As each of these variables is attached to a proximity, we used them to construct proximity indicators, aggregating the coded variables (Wakeling & Morris, 1993) by averaging them (Albarello et al., 2010). Thus, we could determine which proximity type influenced producers’ motivations and commitment to engage in LDCs.

In this research, the motivations of local producers are characterized by the intention to continue selling in LDCs. However, it is also associated with the satisfaction derived from doing so and the achievement of economic and noneconomic objectives. These variables are expected to be correlated with each other, as motivation is linked to satisfaction and economic success (Mundler & Laughrea, 2016).

The target sample is a set of local producers involved in LDCs in the region of Normandy in France. The questionnaire was created using Sphinx online and disseminated in October 2022 via email addresses to contacts identified on the Internet or during producer meetings. A 5-point Likert scale was used. Ultimately, 59 valid questionnaires were collected from November 2022 to February 2023. To proceed with the statistical analysis, the data collection recorded a value of 5 for ‘strongly agree’ and a value of 1 for ‘strongly disagree’.

First, a descriptive analysis was performed to describe the sample and to verify a normal distribution. Second, to supplement the initial data from the 59 respondents, extrapolation and enrichment techniques based on observed trends were used to expand the sample to include 203 responses. These methods improved the robustness of the analyses while maintaining consistency with the data initially collected (Abell et al., 2023). Third, correlation analyses were used to check whether the independence of the dimensions (H6) could be validated. A multivariate analysis then determined the impacts of the dimensions on producers’ motivations and commitment to engage in LDCs (H1, H2, H3, H4, and H5).

Empirical results

This section presents the statistical analyses and interpretations – including the descriptive, bivariate, and multivariate analyses – of the available dataset.

Descriptive analysis

Observations have shown that local distribution is carried out, on average, within a radius of 103 km with six marketing channels per producer. Sixty percent of farmers choose to market in alternative channels (organic or AMPA). The Normandy region is renowned for its local agricultural products, including dairy products, potatoes, and ciders. Approximately 30% of local producers handle multiple products, showing their varied agricultural practices. Specifically, most agricultural products are organic or prepared via a conversion process. More importantly, approximately 37.8% of producers have regular travel times between 30 min and 1 h, and 22.5%, most likely those serving the Paris region, have travel times between 1 h 30 min and 2 h. Additionally, Norman producers generally distribute their products through several channels simultaneously, even if the AMPA (76%), direct farm sales (66%), markets (57.6%), and independent caterers (52%) seem to be favored over sales to producer stores (37.3%), sales to industry (15%), collective (37%), grocery/butcher/fruiterer (33.9%), online sales (30.5%), specific networks (25%), wholesale (25%), and supermarkets (18.32%). Fifty percent of the participants have a website, and many use platforms connecting them with customers (27% at ‘Locavor’, 23.7% at ‘La Ruche’, 8.5% at ‘Les Fermes d’ici’, and 6.8% at ‘Agrilocal’). Finally, 30.5% of producers use partner websites, such as the tourist office, to promote their offerings, and 61.4% processed part of their produce for sale. A large part of the organic or conversion production is traded via AMPA or equivalent, directly on farms, and in open-air markets.

In addition to the descriptive analysis, to perform the multivariate analysis, we analyzed the normal distribution of the variables, according to the conditions shown in Table 3 (Appendix 1).

Hence, if the data variables are normally distributed, the parametric method is used along with a linear regression and Pearson correlation. Otherwise, the nonparametric method is adopted along with a logistic regression and Spearman correlation. The results of the normality tests are given in Table 4 (Appendix 1).

The risk threshold was set at 5%, and the results of the two tests performed for the explained variable (MotivCommit), as well as the explanatory variables of proximity showed non-normal distributions (Sig. < 0.05). Hence, a nonparametric method with a logistic regression and Spearman correlation is needed.

Bivariate analysis

A second step of a bivariate analysis of the sample is performed in this subsection. Specifically, three bivariate analyses were performed to highlight some key characteristics of the behavior of these producers with respect to their distribution. Moreover, the identified proximity categories were examined for significant relationships. According to Figure 4 (Appendix 2), some of the relationships seem to be linear; these include a bivariate distribution according to geographical and institutional proximities or a bivariate distribution according to institutional and social proximities. However, some other relationships do not arise clearly from the graph; these include a bivariate distribution according to social and cognitive factors. To evaluate the significance of these relationships, a Spearman correlation analysis was performed (Table 3) to present the symmetrical triangular matrix.

The correlation matrix clearly shows the nonsignificance of most (7 out of 10) of the evaluated Spearman correlations at the 5% risk level, except for the relation between social and institutional proximities, which seems to have a low dependency rate (Spearman correlation = 0.273, Sig. = 0.043), the relation between cognitive and social proximities (Spearman correlation = 0.292, Sig. = 0.040), and the relation between institutional and organizational proximities (Spearman correlation = 0.206, Sig. = 0.048). This result may be explained by the Normandy culture, which implies a relationship between certain variables and the involvement of producers in LDCs. However, these relationships are of low intensity and remain nonsignificant at the 1% risk threshold, which allows us to validate H6 and thus proceed to the next multivariate analysis.

Multivariate analysis

The factor analysis identified patterns of covariation between the variables, found by grouping related variables under common factors. Then, through a modeling analysis, the significance of the variables and their importance in explaining producers’ motivations to engage in LDCs was evaluated.

Factorial analysis

The factorial analysis (Figure 5) had an average variance explained equal to 96% and a Cronbach’s coefficient of 0.8, showing that the motivations and commitment of Norman producers to market in LDCs depend on four main factors: their ability to solve problems, the way the information circulates, their desire to progress collectively, and their geographical location (see bold letters in Figure 5). The component coefficient matrix reveals that the first dimension is driven by variables reflecting cooperation, mutual assistance, and collective progress among producers, suggesting the importance of social and cognitive proximity. The second dimension captures institutional and organizational proximities where autonomy within the LDC model and local development, along with other LDC attributes (easy to solve), provide motivation. Finally, location in urban and touristic areas sustains LDC participation, which shows the importance of the geographic context.

MGMT-29-12980-F5.jpg

Figure 5. Factorial analysis.
Source: Own elaboration.

Figure 5 also shows that producers are willing to develop their competencies and to retain their freedom of action, insofar as their activity is economically viable. Highly significant factors were identified related to compliance with the code of conduct (InstProx), meeting with other producers, allowing them to share common knowledge, understanding and values (CognProx), healthier supply, ease of reacting to and solving problems, and freedom of action (OrgProx).

The commitment to market in local channels appears to be associated with agility (ease of reaction); the possibility of benefiting from well-orchestrated supplies; the possibility of interacting with other producers rather than with consumers on a complementary rather than competitive basis; and, most importantly, the combination of organizational, social, and institutional proximities. In contrast, higher production levels are associated with a lowered incentive to engage in LDCs. Indeed, reliance on geographical proximity (GeoProx) constrains the ability to market at a broader scale. This factor limits the willingness of conventional agriculture producers – who seek larger outlets – to get involved in the development of LDCs. For such producers, the outreach efforts of large-scale retailers who aim at fostering close ties with local suppliers are more effective than with other producers. This ultimately contributes to the expansion of the LDC producer base.

Modeling analysis (logit model)

We performed a modeling analysis to generalize our findings to all producers in Normandy to evaluate the contribution of significant factors (proximity dimensions and items) to the explanation of producers’ commitment and motivations to engage in LDCs.

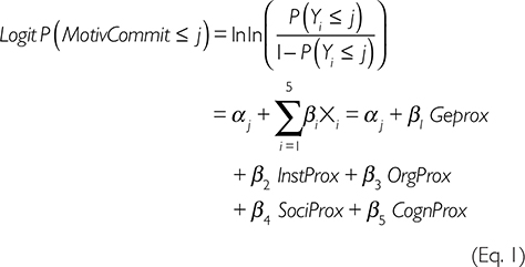
The analysis of the motivations and commitment of Norman producers was based on an ordinal logistic regression (OLR) since the explanatory variables were not normally distributed, and the explained variable was recorded in a way that corresponds to an ordinal variable with k modalities. The theoretical OLR model is given in Equation 1.

MGMT-29-12980-E1.jpg

where

A chi2 test was subsequently performed to assess the model fitting information (Rana & Singhal, 2015). As shown in Table 5 (Appendix 1), the chi2 test shows a value of 40.545 and a p-value strictly less than 5%. The predictive model is thus highly significant overall, and the explanatory variables – the proximity dimensions – are related to the explained variable – the producers’ motivations.

The explanatory variables that actually play a role in this relationship must be identified and then used to interpret the variation in their impacts. The estimates shown in Table 6 (Appendix 1) are calculated via the maximum likelihood method (Myung, 2003).

As shown in Table 6, three of the five proximity dimensions appear to be significant at the risk threshold of 5% (Sig. < 0.05). Producers’ motivations to engage in LDCs seem to be explained more by cognitive, social, and institutional proximities than by geographical or organizational proximities. As the weight estimates are biased because of nonsignificant variables in the estimated model, the model was re-estimated in Table 7 (Appendix 1) after eliminating these nonsignificant variables. The results indicate that cognitive proximity is a significant (p = 0.048) and positive predictor of motivation and commitment. The coefficient of 0.560 shows that every unit increase in cognitive proximity entails an expected increase of 0.560 in the logit probability of being at a higher level of producer motivation, holding all else constant. This result means that Norman producers engage in local circuits to discover and learn from other producers to progress collectively by improving their offerings.

In the same way, social proximity contributes significantly (p = 0.034) and positively to producers’ motivations and commitment. This positive contribution means that each unit of increase in the dimensions of social proximity entails an expected increase of 0.657 in the logit probability of having a higher level of producer motivations, holding all else constant. This result shows that Norman producers are interested in meeting other producers and in discussing and exchanging ideas with distributors.

Finally, the explanatory power of institutional proximity for motivation is very significant (p = 0.001), and the relationship is positive. Each unit of increase in institutional proximity entails a predicted increase of 0.870 in the logit probability of being at a higher level of producer motivation and commitment, holding all else constant. The confidence that emerges from the shared values explains the commitment of producers to local food supply chains. However, geographical and organizational proximities appear nonsignificant for Norman producers’ motivations. This may result from all interviewed producers already being engaged in LDCs. If geographic or organizational proximity were decisive factors in their initial choice to join an LDC, they are not decisive factors in their decision to remain with it.

The shared values do not appear to have a distinctive effect. The respondents automatically made an implicit connection between organizational and institutional factors, resulting in confusion or informational redundancy for some of them, which may cause them to disregard the weight of their answers regarding organizational aspects. This implicit link remains visible in the correlation matrix, in which a significant but low-intensity relationship was found at the 5% threshold between these two proximity dimensions. Hence, the results of this multivariate analysis validate H3, H4, and H5 but not H1 or H2.

MGMT-29-12980-E2.jpg

with MGMT-29-12980-IE1.jpg

The following modeling analysis explores the items that contributed most to the commitment of Norman producers. To this end, the proximity dimensions corresponding to the significant variables in the structural model are replaced by their component items. Table 8 (Appendix 1) presents the estimated parameters of the second model using the maximum likelihood method.

The last column of this table shows that only four of the proximity items (Q41, Q50, Q51, and Q55) contribute significantly (Sig. < 5%) to explaining why Norman producers engage in local circuits. Indeed, distribution through LDCs seems to be explained more significantly by the desire to discover and learn from other producers to progress collectively by improving the offer. Furthermore, Norman producers show a significant commitment to interacting with distributors and, more importantly, to participating in local and regional development. Finally, as the estimated parameters of the model in Table 8 (Appendix 1) are biased by the presence of nonsignificant variables, these parameters need to be re-estimated after eliminating nonsignificant items, which is shown in Table 9 (Appendix 1).

On the basis of the re-estimated parameters of Model 2, the weights are interpreted of the significant items regarding the producers’ motivations to engage in LDCs. The coefficient of 0.466 shows that every unit increase in the will to discover and learn from other producers entails an expected increase of 0.466 in the logit probability of being at a higher level of producer motivation, holding all else constant. Similarly, the coefficient of 0.357 shows that every unit increase in the will to progress collectively to improve the offer entails an expected increase of 0.357 in the logit probability of being at a higher level of producer motivation, holding all else constant. Moreover, the coefficient of 0.342 shows that every unit increase in the will to exchange with distributors entails an expected increase of 0.342 in the logit probability of being at a higher level of producer motivation, holding everything all constant. Finally, the coefficient of 0.385 shows that every unit of increase in the will to participate in local development entails an expected increase of 0.385 in the logit probability of being at a higher level of producer motivation, holding all else constant. Equation 3 presents the OLR model, which captures the relationships linking Norman producers’ motivations to the proximity items identified in the literature.

MGMT-29-12980-E3.jpg

with MGMT-29-12980-IE2.jpg

The models developed in this section are useful for supporting forecasting operations, specifically for predicting the motivations and commitment related to new observations of Norman agricultural producers in the future.

Discussion

The descriptive analysis indicates that producers have an average local distribution of 103 km and use up to 13 LDCs, including producer stores and online sales. We also highlight a difference in behavior between the producers who inherited their farms and those who recently entered the profession. The latter are more likely to join an LDC.

As Bavec et al. (2017) highlighted, economic factors do not significantly affect the likelihood of farmers’ participation in French platforms supplying local products. Producers are not necessarily profit maximizers. The factorial analysis indicates that, profit, although necessary, is not likely a significant element of choice for producers, implying other explanatory factors and justifying the adoption of the theory of proximities. This finding confirms that problem-solving responsiveness, collective progress, information flow, freedom of action, and location play crucial roles in shaping producer commitment (Capo & Chanut, 2013; Mundler & Laughrea, 2016), provided the activities are economically viable. The key influencing factors include compliance with the code of conduct (InstProx); interactions with other producers to share knowledge and values (CognProx); and healthier supplies, responsiveness to issues, and autonomy (OrgProx). These findings align with studies emphasizing the importance of a multidimensional proximity approach in LDCs (Bergadaà & Del Bucchia, 2009; Boschma, 2005b). The commitment to local channels is linked to agility, well-orchestrated supplies, and complementary producer interactions rather than direct consumer relations.

Moreover, producers’ motivations and commitment are explained only by the cognitive, social, and institutional proximity dimensions (e.g., Table 6) rather than the geographical or organizational proximity dimensions, as a few studies have stated (e.g., section ‘From geographical proximity to the activation of other proximity forms’). This finding resonates with Boschma’s (2005b) theory that geographical proximity enhances other proximity forms, facilitating meaningful interactions among market participants. Geographical proximity influences only those who are less inclined to engage in local distribution (Capo & Chanut, 2013; Lenglet & Müller, 2016). In our sample, all of the producers are involved in LDCs, in which geographical and organizational proximities are assumed, which may result in incoming producers underestimating these dimensions. Finally, with a good road infrastructure, Normandy benefits from easy access to large cities and to tourist flows. These elements may explain why geographical proximity or profit concerns appear to be relatively unimportant. In more secluded areas, producers could be more motivated by geographical proximity and more concerned with profit.

The high significance of ‘exchanging with their different producers’ (SocProx), which relies on trust and shared experiences, confirms the research results (Tang, 2018; Wiengarten et al., 2021). Strong social ties among producers and consumers facilitate collaboration and enhance economic outcomes (Boschma, 2005b). Similarly, the high significance of ‘progress collectively to improve the offer’ and ‘discover and learn from other producers’ (CognProx), sharing knowledge and experience, allowing producers to learn and innovate within their networks, and progressing collectively also confirms the research results (Bouba-Olga & Zimmermann, 2004; Mundler & Laughrea, 2016).

In our case study, ‘local development’ (InstProx) is not perceived as shared norms, laws, and adherence to collective rules, as the literature has stated (Boschma, 2005b; Geldes et al., 2015; Roep & Wiskerke, 2012; Wu & Jia, 2018), but it is perceived as shared values because producers want to help develop their territory.

Our theoretical contribution is twofold. All of these proximities have been studied but never together. We studied all of these proximities in the same case study to compare them and identify those that better explain producers’ commitment and motivations. We show that only three of five significantly influence these factors.

Our managerial contribution is to enhance Norman supply chain decision-makers’ understanding of Norman producers’ motivations and commitment to further engage in LDCs. Norman producers have successfully adopted direct-to-consumer sales models, reducing dependency on large retail chains (Guillemin, 2022). We refine those findings by highlighting the four highly significant variables previously identified, which are representative of the culture of Norman producers and can be considered indicators of sustainable economic performance. This work is particularly important because the survival of farmers in Normandy, as elsewhere, depends on their ability to adapt to changes, manage resources efficiently, diversify activities where possible, and benefit from a favorable economic and institutional environment. Additionally, collaboration between actors in the agricultural sector and support from public authorities can help strengthen farmers’ resilience (Šūmane et al., 2018). Indeed, producers’ motivations to exploit LDCs presuppose that they can earn a living from the activity. These proximity dimensions facilitate interactions, enhance trust, and support producers’ economic and operational goals.

Normandy’s historical trading networks and geographic position have allowed it to develop strong local distribution systems. Its access to maritime routes and well-established market infrastructure has historically facilitated trade and local commerce. For these reasons, it would be interesting to assess, in other territories where infrastructures are well developed, whether producers are not profit maximizers but perceive local development as a shared value, provided their activities are economically viable. As only three of the proximity dimensions (cognitive, social, and institutional) influence Norman producers’ motivations and commitment to further engage in LDCs, the verification of these findings through replication would be a welcome source of external validation.

As new research explores how LDCs are becoming vectors for sustainable, circular, or regenerative economies at a local scale, these three identified proximities can be used as enablers of local environmental governance.

Conclusion

Proximity is essential in LDCs because it stimulates local economies by supporting farmers and guaranteeing stable incomes while offering fresher, higher-quality products. Proximity fosters direct relationships between producers and consumers, strengthens community ties, and promotes sustainability.

This study is the first attempt to aggregate proximity items into proximity dimensions and determine their net effects on agricultural producers’ motivations for engaging in LDCs and commitment to doing so.

The analyses allowed us to (1) describe the sample contextually, (2) capture the form of the bivariate distributions to validate (or invalidate) the research hypotheses, (3) show the results of a factorial analysis, (4) establish the OLR models, and (5) assess the net average impacts of the antecedents of producers’ motivations. These models are useful for estimating other Norman farmers’ commitment and for forecasting new generations’ motivations. As the institutional, cognitive, and social proximity dimensions are significant, Norman producers are more interested in values than they are in materials. Specifically, the study of proximity item effects revealed that the values promoted by LDCs – such as learning, sharing, cooperation and collaboration, sustainability, and local development – incite Norman producers to market their products via LDCs. These producers appear to enjoy the same privileges and adhere to the same principles and opportunities. One limitation of this research is that all the producers interviewed work in LDCs.

Although the initial data were drawn from a real sample, the responses were enriched to deepen the empirical analyses. This is a potential limitation, so future studies could validate these results with larger samples. These results also suggest future research possibilities, such as investigating producers’ motivations and commitment in other French regions to highlight the effect of contextual variations in proximity items. Another research direction is to study LDCs to show how food resilience can be strengthened during crises, increasing consumer awareness of seasonality, crop diversity, and sustainable practices.

Acknowledgments

This research was funded by the Normandy Region, France.

References

Abell, L., Maher, F., Jennings, A. C. & Gray, L. J. (2023). A systematic review of simulation studies which compare existing statistical methods to account for non-compliance in randomised controlled trials. BMC Medical Research Methodology, 23(1), 300. https://doi.org/10.1186/s12874-023-02126-w

Aggeri, F. (2017). How can performativity contribute to management and organization research? Theoretical perspectives and analytical framework. M@n@gement, 20(1), 28–69. https://doi.org/10.3917/mana.201.0028

Albarello, L., Bourgeois, É. & Guyot, J. (Eds.). (2020). Statistique descriptive. Un outil pour les praticiens-chercheurs (pp. 33–60). De Boeck Supérieur.

Bavec, S., Bouroullec, M. D. M., Chaib, K. & Raynaud, E. (2017). The determinants of farmers’ participation in collective organizations and their governance: The case of French platforms supplying local produce [Conference presentation]. The 7th EAAE PhD Workshop (Vol. 14), Toulouse, France.

Bayman, E. O. & Dexter, F. (2021). Multicollinearity in logistic regression models. Anesthesia & Analgesia, 133(2), 362–365. https://doi.org/10.1213/ANE.0000000000005593

Bellet, M., Kirat, T. & Largeron, C. (1998). Approches multiformes de la proximité. Hermès Sciences.

Bergadaà, M. & Del Bucchia, C. (2009). La recherche de proximité par le client dans le secteur de la grande consommation alimentaire. Management & Avenir, (21), 121–135. https://doi.org/10.3917/mav.021.0121

Blanc, H. & Sierra, C. (1999). The internationalisation of R&D by multinationals: A trade-off between external and internal proximity. Cambridge Journal of Economics, 23(2), 187–206. https://doi.org/10.1093/cje/23.2.187

Boschma, R. (2005a). Proximity and innovation: A critical assessment. Regional Studies, 39(1), 61–74. https://doi.org/10.1080/0034340052000320887

Boschma, R. (2005b). Role of proximity in interaction and performance: Conceptual and empirical challenges. Regional Studies, 39(1), 41–45. https://doi.org/10.1080/0034340052000320878

Bouba-Olga, O. & Grossetti, M. (2008). Socio-économie de proximité. Revue d’économie Régionale & Urbaine, 8(3), 311–328. https://doi.org/10.3917/reru.083.0311

Bouba-Olga, O. & Zimmermann, J.-B. (2004). Modèles et mesures de la proximité. In B. Pecqueur & J.-B. Zimmermann (Eds.), Économie de proximités (pp. 77–99). Hermès Sciences.

Bradshaw, M. (2001). Multiple proximities: Culture and geography in the transport logistics of newsprint manufactured in Australia. Environment and Planning A: Economy and Space, 33(10), 1717–1739. https://doi.org/10.1068/a33220

Capo, C. & Chanut, O. (2013). Le concept de proximité comme source de différenciation : Proposition d’une grille de lecture des positionnements voulus des distributeurs français. Logistique & Management, 21(1), 7–18. https://doi.org/10.1080/12507970.2013.11517005

Chaffotte, L. & Chiffoleau, Y. (2007). Vente directe et circuits courts: évaluations, définitions et typologie. Les cahiers de l’observatoire CROC, 1, 1–8.

Chiffoleau, Y. (2008). Les circuits courts de commercialisation en agriculture : Diversité et enjeux pour le développement durable. In G. Maréchal (Ed.), Les circuits courts alimentaires. Bien manger dans les territoires (pp. 19–30). Éducagri. https://doi.org/10.3917/edagri.colle.2008.01.0019

Christopher, M. (2016). Logistics and supply chain management (5th ed.). Pearson Education.

Dupuy, C. & Burmeister, A. (2003). Entreprises et territoires. Les nouveaux enjeux de la proximité. Documentation française.

Dupuy, C. & Gilly, J.-P. (1995). Les stratégies territoriales des grands groupes industriels. In A. Rallet & A. Torre (Eds.), Économie industrielle et économie spatiale (pp. 129–146). Economica.

Dupuy, C. & Torre, A. (2004). Confiance et proximité. In B. Pecqueur & J.-B. Zimmermann (Eds.), Économie de proximités (pp. 65–87). Hermès Sciences.

Efron, B. & Tibshirani, R. J. (1994). An Introduction to the Bootstrap. Chapman and Hall.

Feagan, R. (2007). The place of food: Mapping out the ‘local’ in local food systems. Progress in Human Geography, 31(1), 23–42. https://doi.org/10.1177/0309132507073527

Floriš, N. & Schwarcz, P. (2018). Potential of short food supply chains, their role and support within the rural development policy in the Slovak Republic. Acta Regionalia et Environmentalica, 15(1), 15–21. https://doi.org/10.2478/aree-2018-0004

Flynn, A., Harrison, M. & Marsden, T. (2005). Consuming Interests: The social provision of foods. Routledge. https://doi.org/10.4324/9780203980149

Follett, J. R. (2009). Choosing a food future: Differentiating among alternative food options. Journal of Agricultural and Environmental Ethics, 22(1), 31–51. https://doi.org/10.1007/s10806-008-9125-6

Fryer, L. K., Larson-Hall, J. & Stewart, J. (2018). Quantitative methodology. In A. Phakiti, P. De Costa, L. Plonsky & S. Starfield (Eds.), The Palgrave Handbook of Applied Linguistics Research Methodology (pp. 55–77). Palgrave Macmillan.

Gale, F. (1997). Direct farm marketing as a rural development tool. Rural America/Rural Development Perspectives, 12(2), 19–25. https://doi.org/10.22004/ag.econ.289729

Geldes, C., Felzensztein, C., Turkina, E. & Durand, A. (2015). How does proximity affect interfirm marketing cooperation? A study of an agribusiness cluster. Journal of Business Research, 68(2), 263–272. https://doi.org/10.1016/j.jbusres.2014.09.034

Gidley, D. & Palmer, M. (2021). Institutional work: A review and framework based on semantic and thematic analysis. M@n@gement, 24(4), 49–63. https://doi.org/10.37725/mgmt.v24.4579

Gilly, J.-P. & Torre, A. (2000). Dynamiques de proximité. L’Harmattan.

Guillemin, P. (2022). Food (in)justice and social inequalities in vegetable and market garden production in Normandy, France. Review of Agricultural, Food and Environmental Studies, 103(4), 321–345. https://doi.org/10.1007/s41130-022-00176-0

Hall, P. (1992). The Bootstrap and Edgeworth expansion. Springer. https://doi.org/10.1007/978-1-4612-4384-7

Hardesty, S. D. & Leff, P. (2010). Determining marketing costs and returns in alternative marketing channels. Renewable Agriculture and Food Systems, 25(1), 24–34. https://doi.org/10.1017/S1742170509990196

Hérault-Fournier, C. (2013). Est-on vraiment proche en vente directe ? Typologie des consommateurs en fonction de la proximité perçue dans trois formes de vente: AMAP, points de vente collectifs et marchés. Management & Avenir, 64, 167–184 https://doi.org/10.3917/mav.064.0167

Hérault-Fournier, C., Merle, A. & Prigent-Simonin, A. H. (2012). Comment les consommateurs perçoivent-ils la proximité à l’égard d’un circuit court alimentaire? Management & Avenir, 53, 16–33. https://doi.org/10.3917/mav.053.0016

Hérault-Fournier, C., Merle, A. & Prigent-Simonin, A. H. (2014). Diagnostiquer la proximité perçue en vente directe de produits alimentaires. Décisions Marketing, 73, 89–108. https://doi.org/10.3917/dm.073.0089

Jakubicek, P. & Woudsma, C. (2011). Proximity, land, labor and planning? Logistics industry perspectives on facility location. Transportation Letters, 3(3), 161–173. https://doi.org/10.3328/TL.2011.03.03.161-173

Jarosz, L. (2000). Understanding agri-food networks as social relations. Agriculture and Human Values, 17(3), 279–283. https://doi.org/10.1023/A:1007692303118

Kamgang, N. I. G. & Adama, B. (2017). La proximité entre les prestataires de services logistiques et leurs clients quel impact sur le succès du partenariat vertical logistique ? Revue Africaine de Management, 2(2), 115–125. https://doi.org/10.48424/IMIST.PRSM/ram-v2i2.6943

Klimas, P. & Twaróg, S. (2015). Inter-organizational proximity in the context of logistics-research challenges. LogForum, 11(1), 109–117. https://doi.org/10.17270/J.LOG.2015.1.10

Knickel, K., Redman, M., Darnhofer, I., Ashkenazy, A. et al. (2018). Between aspirations and reality: Making farming, food systems and rural areas more resilient, sustainable and equitable. Journal of Rural Studies, 59, 197–210. https://doi.org/10.1016/j.jrurstud.2017.04.012

Laughrea, S., Mundler, P. & Royer, A. (2018). Les coopératives alimentaires en circuits courts : Quelles motivations d’adhésion et d’engagement chez les agriculteurs? RECMA, 347, 111–127. https://doi.org/10.3917/recma.347.0111

Le Nadant, A.-L., Marinos, C. & Krauss, G. (2018). Les espaces de coworking : Le rôle des proximités dans les dynamiques collaboratives. Revue Française de Gestion, 272, 121–137. https://doi.org/10.3166/rfg.2018.00233

Lenglet, F. & Müller, B. (2016). Les effets de la proximité sur la confiance : Le cas des produits localisés [Conference presentation]. The 31st International Congress of Association française de marketing (AFM), Marrakech, Morocco.

Mundler, P. & Laughrea, S. (2016). Les bénéfices des circuits alimentaires de proximité: Une revue critique de la littérature. In P. Mundler & J. Rouchier (Eds.), Alimentation et proximités. Jeux d’acteurs et territoires (pp. 15–58). Educagri.

Myung, I. J. (2003). Tutorial on maximum likelihood estimation. Journal of Mathematical Psychology, 47(1), 90–100. https://doi.org/10.1016/S0022-2496(02)00028-7

Ouahab, A. & Maclouf, É. (2019). Diversity and struggles in critical performativity. The case of French community-supported agriculture. M@n@gement, 22(4), 537–558. https://doi.org/10.3917/mana.224.0537

Pecqueur, B. & Zimmermann, J.-B. (2002). Les fondements d’une économie de proximité (Working paper 02A26). GREQAM.

Pecqueur, B. & Zimmermann, J.-B. (2004). Économie de proximités. Hermès Sciences.

Praly, C., Chazoule, C., Delfosse, C. & Mundler, P. (2014). Les circuits de proximité, cadre d’analyse de la relocalisation des circuits alimentaires. Géographie, Économie, Société, 16(4), 455–478. https://doi.org/10.3166/ges.16.455-478

Prigent-Simonin, A. H. & Hérault-Fournier, C. (2012). Au plus près de l’assiette. Pérenniser les circuits courts alimentaires. Éducagri.

Pullman, M. & Wu, Z. (2021). Food supply chain management: Building a sustainable future. Routledge. https://doi.org/10.4324/9780429329883

Rallet, A. & Torre, A. (1995). Économie industrielle et économie spatiale. Economica.

Rana, R. & Singhal, R. (2015). Chi-square test and its application in hypothesis testing. Journal of the Practice of Cardiovascular Sciences, 1(1), 69–71. https://doi.org/10.4103/2395-5414.157577

Renting, H., Marsden, T. K. & Banks, J. (2003). Understanding alternative food networks: Exploring the role of short food supply chains in rural development. Environment and Planning A: Economy and Space, 35(3), 393–411. https://doi.org/10.1068/a3510

Roep, D. & Wiskerke, J. S. (2012). On governance, embedding and marketing: Reflections on the construction of alternative sustainable food networks. Journal of Agricultural and Environmental Ethics, 25(2), 205–221. https://doi.org/10.1007/s10806-010-9286-y

Santini, A., Ghelardini, L., De Pace, C., Desprez-Loustau, M. L. et al. (2013). Biogeographical patterns and determinants of invasion by forest pathogens in Europe. New Phytologist, 197(1), 238–250. https://doi.org/10.1111/j.1469-8137.2012.04364.x

Seyfang, G. (2005). Shopping for sustainability: Can sustainable consumption promote ecological citizenship? Environmental Politics, 14(2), 290–306. https://doi.org/10.1080/09644010500055209

Simpson, D., Segrave, M., Quarshie, A., Kach, A. et al. (2021). The role of psychological distance in organizational responses to modern slavery risk in supply chains. Journal of Operations Management, 67(8), 989–1016. https://doi.org/10.1002/joom.1157

Šūmane, S., Kunda, I., Knickel, K., Strauss, A. et al. (2018). Local and farmers’ knowledge matters! How integrating informal and formal knowledge enhances sustainable and resilient agriculture. Journal of Rural Studies, 59, 232–241. https://doi.org/10.1016/j.jrurstud.2017.01.020

Talbot, D. (2008). Les institutions créatrices de proximités. Revue d’économie Régionale & Urbaine, 8(3), 289–310. https://doi.org/10.3917/reru.083.0289

Talbot, D. (2010). La dimension politique dans l’approche de la proximité. Géographie, Économie, Société, 12(2), 125–144. https://doi.org/10.3166/ges.12.125-144

Tang, C. S. (2018). Socially responsible supply chains in emerging markets: Some research opportunities. Journal of Operations Management, 57(1), 1–10. https://doi.org/10.1016/j.jom.2018.01.002

Tegtmeier, E. M. & Duffy, M. (2005). Community Supported Agriculture (CSA) in the Midwest United States: A regional characterization. Leopold Center Pubs and Papers. Paper 151. Retrieved from http://lib.dr.iastate.edu/leopold_pubspapers/151

Torre, A. (2009). Retour sur la notion de proximité géographique. Géographie, Économie, Société, 11(1), 63–75. https://doi.org/10.3166/ges.11.63-73

Torre, A. & Filippi, M. (2005). Proximités et changements socio-économiques dans les mondes ruraux. INRA éditions.

Torre, A. & Talbot, D. (2018). Proximités: Retour sur 25 années d’analyse. Revue d’économie Régionale et Urbaine, 18(5–6), 917–936. https://doi.org/10.3917/reru.185.0917

Torre, A. & Zuindeau, B. (2006). Éditorial Dossier 7 : Proximité et environnement. Développement Durable et Territoires, (Dossier 7). https://doi.org/10.4000/developpementdurable.2735

Uematsu, H. & Mishra, A. K. (2011). Use of direct marketing strategies by farmers and their impact on farm business income. Agricultural and Resource Economics Review, 40(1), 1–19. https://doi.org/10.1017/S1068280500004482

Wakeling, I. N. & Morris, J. J. (1993). A test of significance for partial least squares regression. Journal of Chemometrics, 7(4), 291–304. https://doi.org/10.1002/cem.1180070407

Wiengarten, F., Pagell, M., Durach, C. F. & Humphreys, P. (2021). Exploring the performance implications of precarious work. Journal of Operations Management, 67(8), 926–963. https://doi.org/10.1002/joom.1155

Wilhelm, M. M., Blome, C., Bhakoo, V. & Paulraj, A. (2016). Sustainability in multi-tier supply chains: Understanding the double agency role of the first-tier supplier. Journal of Operations Management, 41(1), 42–60. https://doi.org/10.1016/j.jom.2015.11.001

Wilson, J. M., Boyer O’Leary, M., Metiu, A. & Jett, Q. R. (2008). Perceived proximity in virtual work: Explaining the paradox of far-but-close. Organization Studies, 29(7), 979–1002. https://doi.org/10.1177/0170840607083105

Wu, Z. & Jia, F. (2018). Toward a theory of supply chain fields – Understanding the institutional process of supply chain localization. Journal of Operations Management, 58(1), 27–41. https://doi.org/10.1016/j.jom.2018.03.002

You, G. (2015). Contractualisation et modes de coordination dans la filière laitière. Économie Rurale, 345, 87–100. https://doi.org/10.4000/economierurale.4580

Appendices

Appendix 1. Tables

Table 1. Proximity dimensions and variables
Geographical proximity Distance in km to point of sales
Time in km to point of sales
Accessibility of point of sales
Boschma, 2005b; Blanc & Sierra, 1999; Pecqueur & Zimmermann, 2002; Capo & Chanut, 2013; Bouba-Olga & Grossetti, 2008; Bergadaà & Del Bucchia, 2009
Organizational proximity Information flows well
Procurement is well coordinated
Production pace is respected
Balanced negotiation
Organizational codes (external stakeholders)
Easy to react and solve problems
Mutual arrangements possible with customers
Flynn et al., 2005; Renting et al., 2003; Hérault-Fournier, 2013
Interorganizational proximity in Capo & Chanut, 2013
Lenglet et Müller, 2016
Simpson et al., 2021
Institutional proximity Offer healthier products
Freedom of action
Offer a service to the local community
Contribute to local development
Reduced packaging
The code of conduct is respected (internal stakeholders)
Feagan, 2007
Seyfang, 2005
Roep & Wiskerke, 2012
Renting et al., 2003
Social proximity Interact with other producers
Interact with similar producers
Interact with different producers
Interact with consumers
Interact with retailers
Member of a producer group
Cooperate with and share equipment with other producers
Boschma, 2005b
Relational proximity in Hérault-Fournier, 2013
Mundler & Laughrea, 2016
Laughrea et al., 2018
Cognitive proximity Learns when interacts with other producers
Progresses with other producers
Improves offer due to interactions with partners
Is solicited to distribute more in LDCs
Boschma, 2005b
Mundler & Laughrea, 2016
Hardesty & Leff, 2010
Commitment to sell in local food supply chains Is satisfied with working in local food supply chains
Intends to pursue working in local food supply chains
Is committed to market within local food supply chains
Experienced an increase in production
Experienced an increase in profit
Improved his or her knowledge
Mundler & Laughrea, 2016
Source: Own elaboration.

 

Table 2. Method applied by variable distribution
Distribution Normally distributed Likert scale data Not normally distributed Likert scale data
Method Parametric method Nonparametric method
Regression Linear regression Logistic regression
Correlation Pearson correlation Spearman rank correlation
Source: Own elaboration.

 

Table 3. Spearman’s rho correlation matrix
GeoProx InstProx OrgProx SociProx CognProx
GeoProx
Coefficient 1.000
Sig. .
N 200
InstProx
Coefficient 0.178 1.000
Sig. 0.062 .
N 200 203
OrgProx
Coefficient 0.148 0.206* 1.000
Sig. 0.067 0.048 .
N 200 203 203
SociProx
Coefficient 0.072 0.273* 0.218 1.000
Sig. 0.812 0.043 0.054 .
N 200 203 203 203
CognProx
Coefficient 0.056 0.221 0.156 0.292* 1.000
Sig. 0.828 0.052 0.073 0.040 .
N 200 203 203 203 203
Source: Own elaboration.
Notes: *correlation is significant at the 0.05 level (two tailed); **correlation is significant at the 0.01 level (two tailed)

 

Table 4. Normality tests
Kolmogorov–Smirnov Shapiro–Wilk
Statistic df Sig. Statistic df Sig.
MotivCommit 0.105 203 0.000 0.966 203 0.000
GeoProx 0.177 200 0.000 0.944 200 0.000
CognProx 0.113 203 0.000 0.955 203 0.000
SociProx 0.114 203 0.000 0.974 203 0.001
OrgProx 0.101 203 0.000 0.978 203 0.003
InstProx 0.158 203 0.000 0.934 203 0.000
Source: Own elaboration.

 

Table 5. Model fitting information
Model −2 log-likelihood Chi-square df Sig.
Intercept only 793.113
Final 752.568 40.545 5 .000
Source: Own elaboration.

 

Table 6. Explanation of producers’ motivations and commitment through the proximity dimensions
Parameter Estimate Std. error Statistic df Sig.
Threshold
MotivCommit = 2.33 3.289 1.224 7.219 1 0.007
MotivCommit = 2.67 4.753 1.180 16.231 1 0.000
MotivCommit = 3.00 5.805 1.181 24.164 1 0.000
MotivCommit = 3.33 6.660 1.193 31.146 1 0.000
MotivCommit = 3.67 7.627 1.218 39.194 1 0.000
MotivCommit = 4.00 8.849 1.266 48.859 1 0.000
MotivCommit = 4.33 9.547 1.298 54.081 1 0.000
MotivCommit = 4.67 11.122 1.397 63.418 1 0.000
Location
CognProx 0.523 0.210 6.210 1 0.013
SociProx 0.555 0.281 3.904 1 0.048
InstProx 0.686 0.286 5.753 1 0.016
GeoProx 0.281 0.167 2.811 1 0.094
OrgProx 0.037 0.215 0.029 1 0.864
Source: Own elaboration.
Note: Logit used as link function.

 

Table 7. Unbiased explanation of producers’ motivations and commitment through the two proximity dimensions
Parameter Estimate Std. error Statistic Df Sig.
Threshold
MotivCommit = 2.33 2.936 1.110 4.814 1 0.018
MotivCommit = 2.67 3.891 1.061 13.444 1 0.000
MotivCommit = 3.00 4.951 1.062 21.752 1 0.000
MotivCommit = 3.33 5.774 1.074 28.926 1 0.000
MotivCommit = 3.67 6.719 1.097 37.477 1 0.000
MotivCommit = 4.00 7.870 1.139 47.747 1 0.000
MotivCommit = 4.33 8.619 1.170 54.238 1 0.000
MotivCommit = 4.67 10.212 1.268 64.903 1 0.000
Location
InstProx 0.870 0.265 10.757 1 0.001
SociProx 0.657 0.278 9.711 1 0.034
CognProx 0.560 0.235 6.854 1 0.048
Source: Own elaboration.

 

Table 8. Explanation of producers’ motivations and commitment through the proximity items
Parameter Estimate Std. error Hypothesis test
Wald chi-square df Sig.
Threshold
MotivCommit = 2.33 3.458 1.4034 6.071 1 0.014
MotivCommit = 2.67 4.949 1.3680 13.085 1 0.000
MotivCommit = 3.00 5.983 1.3746 18.941 1 0.000
MotivCommit = 3.33 6.942 1.3877 25.023 1 0.000
MotivCommit = 3.67 7.915 1.4090 31.554 1 0.000
MotivCommit = 4.00 9.145 1.4484 39.862 1 0.000
MotivCommit = 4.33 9.915 1.4832 44.685 1 0.000
MotivCommit = 4.67 11.277 1.5688 51.679 1 0.000
GeoProx
Q32. EasyAccessForSales 0.171 0.1400 1.485 1 0.223
Q33. EasyToGetToPointOfSale 0.005 0.1396 0.001 1 0.973
Q34. BenefitFromReducedTransportCost 0.151 0.1490 1.026 1 0.311
InstProx
Q36. HealthierOffer 0.163 0.1546 1.105 1 0.293
Q37. GreatFreedomOfAction 0.163 0.1686 0.931 1 0.335
Q39. CitizenServices −0.123 0.1374 0.805 1 0.369
Q41. LocalDevelopment 0.344 0.1329 6.706 1 0.010
Q46. RespectingTheCodeOfConductry 0.228 0.1662 1.875 1 0.171
OrgProx
Q43. InformationCirculatesWell −0.005 0.1560 0.001 1 0.973
Q44. WellCoordinatedSupplies −0.071 0.1522 0.219 1 0.640
Q45. BalancedNegotiationDeliveryconditions −0.145 0.1460 0.984 1 0.321
CognProx
Q50. DiscoverAndLearnFromOtherProducers 0.450 0.1637 7.562 1 0.006
Q51. ProgressCollectivelyToImproveTheOffer 0.327 0.1518 4.646 1 0.031
SociProx
Q38. MeetOtherProducer 0.106 0.1277 0.691 1 0.406
Q53. ExchangeWithDifferentProducers 0.133 0.1775 0.564 1 0.453
Q55. ExchangingWithYourDistributors 0.278 0.1391 3.982 1 0.046
Source: Own elaboration.
Note: Logit used as link function.

 

Table 9. Unbiased explanation of producers’ motivations and commitment through the proximity items
Parameter B Std. error Hypothesis test
Wald chi-square df Sig.
Threshold MotivCommit = 2.33 1.530 1.072 2.038 1 0.153
MotivCommit = 2.67 3.027 1.023 8.752 1 0.003
MotivCommit = 3.00 4.090 1.029 15.802 1 0.000
MotivCommit = 3.33 4.972 1.046 22.600 1 0.000
MotivCommit = 3.67 5.902 1.070 30.414 1 0.000
MotivCommit = 4.00 7.060 1.104 40.864 1 0.000
MotivCommit = 4.33 7.782 1.128 47.592 1 0.000
MotivCommit = 4.67 9.073 1.199 57.304 1 0.000
Q50. DiscoverAndLearnFromOtherProducers 0.466 0.152 9.344 9.344 1 0.002
Q51. ProgressCollectivelyToImproveTheOffer 0.357 0.143 8.715 8.715 1 0.025
Q55. ExchangingWithYourDistributors 0.342 0.134 8.505 8.505 1 0.033
Q41. LocalDevelopment 0.385 0.128 9.065 9.065 1 0.003
Source: Own elaboration.
Note: Logit used as link function

Appendix 2. Figure 4

MGMT-29-12980-F4.jpg

Appendix 2. Figure 4. Scatter plot matrix of pairwise proximity variables.
Source: Own elaboration.